网站首页  词典首页


请输入您要查询的字词:

 

字词 咖啡因[典]
类别 中英文字词句释义及详细解析
释义 咖啡因[典]

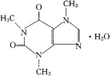
C8H10N4O2·H2O=212.21

CAS-5743-12-4

1,3,7-三甲基黄嘌呤-水化合物。

1,3,7-Trimethylxanthine monohydrate.

中枢兴奋药。用于中枢性呼吸及循环功能不良。

咖啡碱(台)。

Caffeine,Metyltheobromine,Guaranine.

安那加注射液。

BP,EP,JP,USAN,USP,USSRP,MI.

随便看

 

离鸟网收录3541549条中英文词条,其功能与新华字典、现代汉语词典、牛津高阶英汉词典等各类中英文词典类似,基本涵盖了全部常用中英文字词句的读音、释义及用法,是语言学习和写作的有利工具。

 

Copyright © 2004-2024 vtrois.com All Rights Reserved
更新时间:2026/4/7 1:26:19