网站首页  词典首页


请输入您要查询的字词:

 

字词 咖法米诺
类别 中英文字词句释义及详细解析
释义 咖法米诺

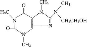
C11H17N5O3=267.29

CAS-30924-31-3

8-[(2-羟乙基)甲氨基]咖啡因。

8-[(2-Hydroxyethyl)methylamino]caffeine.

鼻粘膜充血消除药。

Cafaminol,Methylcoffanolamine,Rhinopril.

INN,USAN,MI.

随便看

 

离鸟网收录3541549条中英文词条,其功能与新华字典、现代汉语词典、牛津高阶英汉词典等各类中英文词典类似,基本涵盖了全部常用中英文字词句的读音、释义及用法,是语言学习和写作的有利工具。

 

Copyright © 2004-2024 vtrois.com All Rights Reserved
更新时间:2026/5/25 20:55:00