网站首页  词典首页


请输入您要查询的字词:

 

字词 咪哌酮[中]
类别 中英文字词句释义及详细解析
释义 咪哌酮[中]

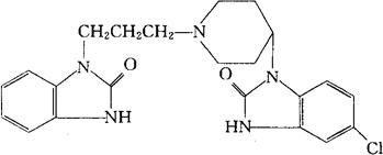
C22H24ClN5O2=425.92

CAS-57808-66-9

5-氯-1-[1-[3-(2-氧代-1-苯并咪唑啉基)丙基]-4-哌啶基]-2-苯并咪唑啉酮。

5-Chloro-1-[1-[3-(2-oxo-1-benzimidazolinyl)propyl]-4-piperidyl]-2-benzimidazolinone.

止吐药。

吗丁啉,多潘立酮。

Motilium,Domperidone.

INN,BAN,DCF,DCIT,JAN,USAN,MI.

随便看

 

离鸟网收录3541549条中英文词条,其功能与新华字典、现代汉语词典、牛津高阶英汉词典等各类中英文词典类似,基本涵盖了全部常用中英文字词句的读音、释义及用法,是语言学习和写作的有利工具。

 

Copyright © 2004-2024 vtrois.com All Rights Reserved
更新时间:2026/5/25 14:57:57