网站首页  词典首页


请输入您要查询的字词:

 

字词 咪唑格雷
类别 中英文字词句释义及详细解析
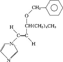
释义 咪唑格雷

C18H24N2O=284.40

CAS-80614-27-3

(±)-1-[(E)-3-(苯甲氧)-1-辛烯基]咪唑。

(±)-1-[(E)-3-(Benzyloxy)-1-octenyl]midazole.

抗凝血药。

Midazogrel.

INN,USAN.

随便看

 

离鸟网收录3541549条中英文词条,其功能与新华字典、现代汉语词典、牛津高阶英汉词典等各类中英文词典类似,基本涵盖了全部常用中英文字词句的读音、释义及用法,是语言学习和写作的有利工具。

 

Copyright © 2004-2024 vtrois.com All Rights Reserved
更新时间:2026/5/25 9:15:27