网站首页  词典首页


请输入您要查询的字词:

 

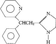
字词 咪格列唑
类别 中英文字词句释义及详细解析
释义 咪格列唑

C16H17N3=251.33

CAS-66529-17-7

(±)-2-[α-(2-咪唑啉-2-基甲基)苄基]吡啶。

(±)-2-[α-(2-Imidazolin-2-ylmethyl)benzyl]pyridine.

2-[2-(4,5-二氢-1H-咪唑-2-基)-1-苯乙基]吡啶。

2-[2-(4,5-Dihydro-1H-imidazol-2-yl)-1-phenylethyl]pyridine.

降血糖药。

Midaglizole.

INN,USAN.

随便看

 

离鸟网收录3541549条中英文词条,其功能与新华字典、现代汉语词典、牛津高阶英汉词典等各类中英文词典类似,基本涵盖了全部常用中英文字词句的读音、释义及用法,是语言学习和写作的有利工具。

 

Copyright © 2004-2024 vtrois.com All Rights Reserved
更新时间:2026/5/26 3:08:22