网站首页  词典首页


请输入您要查询的字词:

 

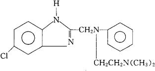
字词 咪达马林
类别 中英文字词句释义及详细解析
释义 咪达马林

C18H21ClN4=328.84

CAS-496-38-8

CAS-24360-03-0(as hydrochloride)

N-(5-氯-2-苯并咪唑基甲基)-N-苯-N′,N′-二甲基亚乙基二胺。

N-(5-Chloro-2-benzimidazolylmethyl)-N-phenyl-N′,-N′-dimethylethylenediamine.

5-氯-2-[[N-[2-(二甲氨基)乙基]苯胺基]甲基]苯并咪唑。

5-Chloro-2-[[N-[2-(dimethylamino)ethyl]anilino]methyl]benzimidazole.

局部麻醉药。

Midamaline.

INN,USAN.

随便看

 

离鸟网收录3541549条中英文词条,其功能与新华字典、现代汉语词典、牛津高阶英汉词典等各类中英文词典类似,基本涵盖了全部常用中英文字词句的读音、释义及用法,是语言学习和写作的有利工具。

 

Copyright © 2004-2024 vtrois.com All Rights Reserved
更新时间:2026/5/25 9:03:37