品质长度
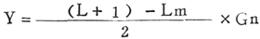
亦可称为右半部平均长度和主上平均长度。 是采用Y111型罗拉式长度分析仪法对棉纤维长度进行测定中而得到的一长度指标。用Lp表示。 品质长度与纺织工艺关系极为密切,棉纺机台中的罗拉隔距便是根据品质长度设计并调节的。由于罗拉式长度分析仪是分组测量仪器,所以,它是通过罗拉隔距将棉纤维分为若干组,然后从这主要长度组之间的关系中得到某一长度指标亦包括品质长度。 即利用罗拉分组,由短至长依次选分称重,从而取得长度分布数据。 由于品质长度在函数图象上是向右偏的,即均分布在右半部,故称为右半部平均长度。从长度数据的分布上看是主体长度以上各组纤维的平均长度,即称为主上平均长度。其可由下式计算:  式中,Lp为品质长度(毫米),L为重量最大一组的中值长度(毫米),i为长于L的各组长度与L的差距(i=2、4、6……),Y为重量最大一组中长度长于Lm的纤维的重量。  |