网站首页  词典首页


请输入您要查询的字词:

 

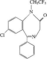
字词 哈拉西泮
类别 中英文字词句释义及详细解析
释义 哈拉西泮

C17H12ClF3N2O=352.74

CAS-23092-17-3

7-氯-1,3-二氢-5-苯基-1-(2,2,2-三氟乙基)-2H-1,4-苯并二氮-2-酮。

7-Chloro-1,3-dihydro-5-phenyl-1-(2,2,2-trifluoroethyl)-2H-1,4-benzodiazepin-2-one.

抗焦虑药。

Halazepam,Paxipa.

INN,BAN,NFN,USAN,USP,MI.

随便看

 

离鸟网收录3541549条中英文词条,其功能与新华字典、现代汉语词典、牛津高阶英汉词典等各类中英文词典类似,基本涵盖了全部常用中英文字词句的读音、释义及用法,是语言学习和写作的有利工具。

 

Copyright © 2004-2024 vtrois.com All Rights Reserved
更新时间:2026/4/6 17:44:49