网站首页  词典首页


请输入您要查询的字词:

 

字词 哈罗德-多马增长模型
类别 中英文字词句释义及详细解析
释义 哈罗德-多马增长模型

英国经济学家哈罗德(Harrod,R.)和美国经济学家多马(Domar,E.)提出的经济动态均衡增长的模型。

凯恩斯(Keynes,1936)在《就业、利息和货币通论》一书中认为,一般情况下,经济活动所能达到的均衡总是小于充分就业的均衡,因此经常出现经济危机和失业。只要政府调节总需求,就可以缓和经济危机,并且使整个经济活动达到充分就业的均衡状态。但是,凯恩斯并未考虑时间的变化,他把人口数量、资本数量和技术条件都看成是既定不变的,是一种短期化的静态分析,无法回答经济活动达到均衡状态以后如何变动等问题。因此,要克服这种局限性,就必须进行长期化和动态化的分析。

1939年,哈罗德(Harrod)就提出资本主义经济均衡增长问题。1948年,他在《动态经济学》(Towards a Dynamic Economics)一书中,提出了自己的经济增长模型。几乎在同一时期,多马(Domar)也探讨了均衡增长问题,独立地提出了与哈罗德相类似的经济增长模型。由于二者在形式上极为相似,所以经济学家往往把它们称之为哈罗德-多马模型(Harrod-Domar Model)。

哈罗德-多马模型的假设前提是:(1)全社会只生产一种产品;(2)储蓄S是国民收入Y的函数,即S=sY,这里的S代表这个社会的储蓄比例,即储蓄在国民收入中所占有的份额;(3)生产过程中只使用两种生产要素,即劳动L和资本K;(4)劳动力按照一个固定不变的比率增长;(5)不存在技术进步,也不存在资本折旧问题;(6)生产规模报酬不变,即生产任何一单位产品所需要的资本和劳动的数量是固定不变的。哈罗德和多马认为,一社会的资本和该社会的总产量或实际国民收入之间,存在著一定的比例,即资本-产量比,用ν表示。

如果用K和Y代表资本和产量(国民收入),则K=νY。随著一社会资本的增长,该社会的产量也会增长,假设二者的增长量依次为△K和△Y,二者之比叫边际资本-产量比。

如果资本产量比等于边际资本产量比,则△K=ν△Y。由于假设不存在折旧,资本增量△K全部来源于新的投资,也就是说△K=I,因此I=ν△Y。又由于假设条件中储蓄S是国民收入Y的函数,即S=sY,而按照凯恩斯理论,只有当I=S时,即只有当投资等于储蓄或者说储蓄全部用于投资时,经济活动才能达到均衡增长。

因此,根据I=ν△Y和S=sY两式,便可以得到:ν△Y=sY,或者

该方程即为哈罗德模型的基本方程。它表明,要实现均衡增长,国民收入增长率就必须等于社会储蓄倾向与资本产量比二者之比。如果上述基本方程中的ν是资本的实际变化量与国民收入的实际变化量的比率,那么在-定储蓄比例之下,由此而导致出的国民收入增长率被称为实际增长率,用GA表示,于是方程可以写成:

如果要进行动态理论探讨,重要的是考虑企业家的预期和企业家是否合乎意愿等心理因素。

如果考虑到这些因素,把资本-产量比正理解为企业家意愿中所需要有的资本-产量比,用νr表示它,那么方程又可以写成:

这里的收入增长率是与企业家所需要的资本-产量比νr相适合的收入增长率,是企业家感到满意的收入增长率。哈罗德称之为“有保证的增长率”,用GW表示。将实际增长率方程和有保证的增长率方程整理,则得到:

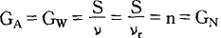
GAν=S GWνr=S 于是得到:GAν=S=GWνro

方程表明,如果现实经济活动出现的实际增长率GA等于企业家感到满意的增长率,即有保证的增长率GW,那么实际资本-产量比ν就必然等于企业家所希望保持的资本-产量比率νr。或者说,如果国民收入按照GW比率增长,那么与实际产量或实际收入的增长相联系的实际资本增量就会等于企业家感到满意的资本增量。

所以只要国民收入按照GW这个增长率增长,就会使企业家保持“愿意进一步实现类似增长”的心理状态,从而国民收入就会年复一年地按照GW增长下去。

但是,该模型的上述论述遇到了两个不易解决的问题。第一个问题是经济沿著均衡途径增长的可能性是否存在,或者说,就具体的经济活动来说,是否存在一条均衡增长途径。

这个问题又被称为“存在问题”。由于实际增长率是许多各不相同的决策者的预期、决策和失误等多种因素作用的结果,因此人们没有理由期望经济活动实际上一定会长期持久地按照“有保证的增长率”增长下去。同时,还应该考虑到就业水平这一因素。要实现劳动力的充分就业,国民收入的增长率必须等于劳动力的增长率。简言之,国民收入要实现均衡增长,就必须等于“有保证的增长率”GW;要实现充分就业的均衡增长,就必须满足:

n表示一国的人口增长率。

符合实现充分就业均衡增长条件的增长率,哈罗德称之为“自然增长率”,用GN表示。显然,GN=n。据说,这是社会所能达到的最大的、“最适宜”的增长率。如果上式中所表明的条件得到满足,那么经济活动就会按照这一比率增长。

哈罗德认为,在资本主义条件下,实现充分就业均衡增长的可能性是存在的。但是决定“有保证的增长率”的S和νr与决定“自然增长率”的n是外生地给定的,因而是独立的,所以GW与GN将仅仅能够偶然地相等,GA=GW=GN这种充分就业均衡增长途径除非是偶然巧合地存在,一般说来,实际经济要取得连续的充分就业均衡增长的可能性极小。也就是说,经济很难按照均衡增长途径增长。

第二个问题是,经济活动一旦偏离了均衡增长途径,其本身是否能够自动地趋向于均衡增长途径,这个问题又被称为“稳定性问题。”在Gaν=GWνr=S的等式中,只有当实际资本-产量比ν等于理想的资本-产量比νr时,实际增长率GA才会等于有保证的增长率GW。如果GA大于(或小于)GW,那么ν就会小于(或大于)νr。也就是说,一旦实际增长率大于(或小于)有保证的增长率,企业的固定资产和存货就会少于(或多于)企业家所需要的数量。这种情况就会促使企业家增加(或减少)订货,增加(或减少)投资,从而使实际产量水平进一步提高(或降低),使实际增长率Ga与有保证的增长率GW之间出现更大的缺口。

使得GA进一步大于(或小于)GW。因此,在哈罗德看来,实际增长率与有保证的增长率之间一旦发生了偏差,经济活动不仅不能自我纠正,而且还会产生更大的偏离。这个结论被称为哈罗德的“不稳定原理。”

哈罗德-多马模型预示到长期储蓄和投资机会之间的不一致性,几乎注定要引起持久的失业。

当GN超过GW时它将是结构性的失业,在GW超过GN时它将是需求不足式的失业。而当长期储蓄相对于自然增长率不充足时,还要伴随著长久的通货膨胀。这对于公共政策提出了根本性的问题。因此,他们建议,如果经济长期过多储蓄,导致“有保证的增长率”超过了“自然增长率”,那么,为了承担更多的投资,对于公共投资采取一种慷慨态度将是适当的。反之,在“自然增长率”超过“有保证的增长率”的情况下,政府将谋求产生更多的长期储蓄,并削减远期的和社会的投资。因此,哈罗德-多马模型的内在机理表明,资本主义经济发展很难稳定在一个不变的发展速度上,不是连续上升,便是连续下降,呈现出剧烈波动的状态。

20世纪50年代后期,美国和一些西欧国家的经济逐步实现充分就业和低微的通货膨胀。一些经济学家认为哈罗德的结论过于悲观,而且也不符合当时西方各国发展的事实,因为各国国民收入虽然经常处于波动之中,但并没有出现过哈罗德-多马模型中所指的那种大起大落状态。

这样,美国经济学家罗伯特·索洛(Robert Solow,1956)和特雷费·斯旺(Treνor Swan,1956)研制了新古典增长模型。在那里,市场力量调节均衡的资本-产出比率ν,从而可以自动地保证GW和GN的相等。

70年代和80年代的失业和滞胀,也未能恢复哈罗德-多马模型从前的权威。

参考文献:

J·M·凯恩斯,1988,《就业、利息和货币通论》,商务印书馆。

Harrod.R.F.,1939,An Essays in Dynamic Theory.Economic Journal 49,March,14—33.

Harrod,R.F.,1948,Towards a Dynamic Economics,London:Macmillan.

Harrod,R.F.,1952,Supplement on dynamic theory,In R.F.,Harrod,Economic Essays,London:Macmillan.

Harrod,R.F.,1939,Domar and Dynamic Economics,Economic Journal 69,September,451—64.

Domar,E.,1946,Capital Expansion,Rate of Growth,and Employment Econometrica 14,April,137—47.

Domar,E.,1947,Expansion and Employment,American Economic Review 37,March,34—55.

Domar,E.,1957,Essays in the Theory of Economic Growth,New York:Oxford University Press.

Solow,R.M.,1956,A contribution to the theory of economic growth.Quarterly Journal of Economics 70,February,65—94.

Swan,T.W.,1956,Economic growth and capital accumulation,Economic Record 32,November,334— 61.

高鸿业,1996,《西方经济学》,中国经济出版社。

随便看

 

离鸟网收录3541549条中英文词条,其功能与新华字典、现代汉语词典、牛津高阶英汉词典等各类中英文词典类似,基本涵盖了全部常用中英文字词句的读音、释义及用法,是语言学习和写作的有利工具。

 

Copyright © 2004-2024 vtrois.com All Rights Reserved
更新时间:2026/4/6 13:49:11