网站首页  词典首页


请输入您要查询的字词:

 

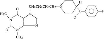
字词 哌丁茶碱
类别 中英文字词句释义及详细解析
释义 哌丁茶碱

C23H28FN5O3=441.51

CAS-110390-84-6

7-[4-[4-(对-氟苯甲酰)哌啶基]丁基]茶碱。

7-[4-[4-(p-Fluorobenzoyl)piperidino]butyl]theophylline.

7-[4-[4-(4-氟苯甲酰-1-哌啶基)丁基]-3,7-二氢-1,3-二甲基]-1H-嘌呤-2,6-二酮。

7-[4-[4-(4-Fluorobenzoyl-1-piperidiny)butyl]-3,7-dihydro-1,3-dimethyl]-1H-purine-2,6-dione.

支气管扩张药。

Ferbufylline,Sqd 1-85.

INN,USAN.

随便看

 

离鸟网收录3541549条中英文词条,其功能与新华字典、现代汉语词典、牛津高阶英汉词典等各类中英文词典类似,基本涵盖了全部常用中英文字词句的读音、释义及用法,是语言学习和写作的有利工具。

 

Copyright © 2004-2024 vtrois.com All Rights Reserved
更新时间:2026/4/7 5:58:28