网站首页  词典首页


请输入您要查询的字词:

 

字词 哌丙呋罗
类别 中英文字词句释义及详细解析
释义 哌丙呋罗

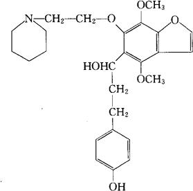
C26H33NO6=455.55

CAS-40680-87-3

α-(对-羟苯乙基)-4,7-二甲氧-6-(2-哌啶乙氧)-5-苯并呋喃甲醇。

α-(p-Hydroxyphenethyl)-4,7-dimethoxy-6-(2-piperidineethoxy)-5-benzofuranmethanol.

4,7-二甲氧-α-(2,4-羟苯乙基)-6-[2-(1-哌啶基)乙氧]-5-苯并呋喃甲醇。

4,7-Dimethoxy-α-(2,4-hydroxyphenylethyl)-6-[2-(1-piperidinyl)ethoxy]-5-benzofuranmethanol.

解痉药,抗高血压,冠脉扩张药。

Piprofurol,MD 710247.

INN,USAN.

随便看

 

离鸟网收录3541549条中英文词条,其功能与新华字典、现代汉语词典、牛津高阶英汉词典等各类中英文词典类似,基本涵盖了全部常用中英文字词句的读音、释义及用法,是语言学习和写作的有利工具。

 

Copyright © 2004-2024 vtrois.com All Rights Reserved
更新时间:2026/4/8 3:32:55