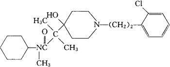
哌地马朵
C24H37ClN2O2=421.02 CAS-68797-29-5 1-(邻-氯苯乙基)-N-环己基-4-羟-N,α,α-三甲基-4-哌啶乙酰胺。 1-(o-Chlorophenethyl)-N-cyclohexyl-4-hydroxy-N,α,α-trimethyl-4-piperidineacetamide. 1-[2-(2-氯苯基)乙基]-N-环己基-4-羟-N,α,α,α-三甲基-4-哌啶乙酰胺。 1-[2-(2-Chlorophenyl)ethyl]-N-cyclohexyl-4-hydroxy-N,α,α-trimethyl-4-piperidineacetamide. 抗抑郁药,镇痛药。 比那迪麦醇。 Pipradimadol,FU 29-245. INN,USAN.  |