网站首页  词典首页


请输入您要查询的字词:

 

字词 哌氟克索
类别 中英文字词句释义及详细解析
释义 哌氟克索

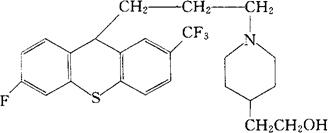
C24H25F4NSO=451.52

CAS-54341-02-5

1-[3-[6氟-2-(三氟甲基)噻吨-9-亚基]丙基]-4-哌啶乙醇。

1-[3-[6-Fluoro-2-(trifluoromethyl)thioxanthen-9-ylidene]propyl]-4 piperidineethanol.

5-羟色胺拮抗药,镇吐药,精神抑制药。

匹鲁克素。

Piflutixol,Pitixol.

INN,USAN.

随便看

 

离鸟网收录3541549条中英文词条,其功能与新华字典、现代汉语词典、牛津高阶英汉词典等各类中英文词典类似,基本涵盖了全部常用中英文字词句的读音、释义及用法,是语言学习和写作的有利工具。

 

Copyright © 2004-2024 vtrois.com All Rights Reserved
更新时间:2026/4/7 11:35:58