网站首页  词典首页


请输入您要查询的字词:

 

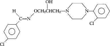
字词 哌氯朋
类别 中英文字词句释义及详细解析
释义 哌氯朋

C20H23Cl2N3O2=408.33

CAS-96164-19-1

对-氯苯甲醛(±)-(E)-O-[3-[4-(邻-氯苯基)-1-哌嗪基]-2-羟丙基]肟。

p-Chlorobenzaldehyde(±)-(E)-O-[3-[4-(o-chlorophenyl)-1-piperazinyl]-2-hydroxypropyl]oxime.

降血脂药。

Peraclopone.

INN,USAN.

随便看

 

离鸟网收录3541549条中英文词条,其功能与新华字典、现代汉语词典、牛津高阶英汉词典等各类中英文词典类似,基本涵盖了全部常用中英文字词句的读音、释义及用法,是语言学习和写作的有利工具。

 

Copyright © 2004-2024 vtrois.com All Rights Reserved
更新时间:2026/5/25 18:58:53