网站首页  词典首页


请输入您要查询的字词:

 

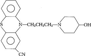
字词 哌氰嗪
类别 中英文字词句释义及详细解析
释义 哌氰嗪

C21H23N3OS=365.19

CAS-2622-26-6

2-氰基-10-[3-(4-羟哌啶基)丙基]吩噻嗪。

2-Cyano-10-[3-(4-hydroxypiperidino)propyl]phenothiazine.

10-[3-(4-羟哌啶基)丙基]吩噻嗪-2-腈。

10-[3-(4-Hydroxypiperidino)propyl]phenothiazine2-carbonitrile.

抗精神病药。

Periciazine,RP 8909,SKF 20716,Propericiazine,Aolept,Pericyagine,Neulactil,Neuleptil.

INN,BAN,DCF,DCIT,JAN,NFN,USAN.

随便看

 

离鸟网收录3541549条中英文词条,其功能与新华字典、现代汉语词典、牛津高阶英汉词典等各类中英文词典类似,基本涵盖了全部常用中英文字词句的读音、释义及用法,是语言学习和写作的有利工具。

 

Copyright © 2004-2024 vtrois.com All Rights Reserved
更新时间:2026/4/7 2:31:52