网站首页  词典首页


请输入您要查询的字词:

 

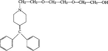
字词 哌泊昔秦
类别 中英文字词句释义及详细解析
释义 哌泊昔秦

C24H31NO3=381.51

CAS-55837-21-3

2-[2-[2-[4-(二苯亚甲基)哌啶基]乙氧]乙氧基]乙醇。

2-[2-[2-[4-(Diphenylmethylene)piperidino]ethoxy]ethoxy]ethanol.

抗心律失常药,抗组胺药,支气管扩张药。

Pipoxizine.

INN,USAN.

随便看

 

离鸟网收录3541549条中英文词条,其功能与新华字典、现代汉语词典、牛津高阶英汉词典等各类中英文词典类似,基本涵盖了全部常用中英文字词句的读音、释义及用法,是语言学习和写作的有利工具。

 

Copyright © 2004-2024 vtrois.com All Rights Reserved
更新时间:2026/4/6 21:46:38