网站首页  词典首页


请输入您要查询的字词:

 

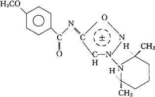
字词 哌西朵明
类别 中英文字词句释义及详细解析
释义 哌西朵明

C17H22N4O3=303.39

CAS-132722-74-8

N,对-茴香酰-3-(顺-2,6-二甲哌啶基)斯德酮亚胺。

N,p-Anisoyl-3-(cis-2,6-dimethylpiperidino)sydnoneimine.

Pirsidomine.

INN,USAN.

随便看

 

离鸟网收录3541549条中英文词条,其功能与新华字典、现代汉语词典、牛津高阶英汉词典等各类中英文词典类似,基本涵盖了全部常用中英文字词句的读音、释义及用法,是语言学习和写作的有利工具。

 

Copyright © 2004-2024 vtrois.com All Rights Reserved
更新时间:2026/5/30 15:01:03