网站首页  词典首页


请输入您要查询的字词:

 

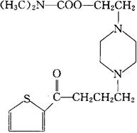
字词 哌诺地尔
类别 中英文字词句释义及详细解析
释义 哌诺地尔

C17H27N3O3S=353.48

CAS-59840-71-0

二甲铵基甲基酸2-[4-[3-(2-噻吩甲酰)丙基]-1-哌嗪基]乙酯。

2-[4-[3-(2-Thenoyl)propyl]-1-piperazinyl]ethyl dimethylcarbamate.

血管扩张药。

Pitenodil.

INN,USAN.

随便看

 

离鸟网收录3541549条中英文词条,其功能与新华字典、现代汉语词典、牛津高阶英汉词典等各类中英文词典类似,基本涵盖了全部常用中英文字词句的读音、释义及用法,是语言学习和写作的有利工具。

 

Copyright © 2004-2024 vtrois.com All Rights Reserved
更新时间:2026/4/6 19:28:00