网站首页  词典首页


请输入您要查询的字词:

 

字词 哥本哈根解释
类别 中英文字词句释义及详细解析
释义 哥本哈根解释

指哥本哈根学派对量子力学的理论解释。

量子力学建立以后,对其理论的解释引起很大争论,形成了几个派别,哥本哈根学派是其中之一,在当时被认为是量子力学的“正统”学派。他们对量子力学的解释在1927年10月的第五次索尔末(Solovay)会议上,经过辩论,以玻尔和海森堡为代表的哥本哈根学派的观点占统治地位,因此,哥本哈根学派对量子力学的解释,产生很大的影响。哥本哈根解释主要是几率解释,但它跟量子力学的统计解释又有区别,统计解释认为微观粒子的波粒二象性是大量微观粒子的统计行为在宏观呈现波动性和粒子性的双重属性,对单个粒子行为不承认有波粒二象性,而哥本哈根解释则认为波粒二象性对单粒子行为也成立。狄拉克提出的单光子干涉问题,就是哥本哈根解释的代表观点。

哥本哈根解释有下面几个主要观点:(1)微观粒子体系的波粒二象性运动状态,由波函数φ(r,t)描述,φ(r,t)一般是时间和空间的连续复变函数,是希尔伯特空间一个矢量,这个函数是一个理论模型,至今还找不到实验的证明,但由它推导的其他理论结果确能得到实验的证明,因此波函数原理称为量子力学的第一原理。(2)波函数模量的平方|φ(r,t)|2决定在空间体积元dc内发现粒子的几率,这是实验上可以测量的,也是1927年索尔未会议上玻恩首先提出的,这就是波函数的几率解释,也称为量子力学的几率解释。

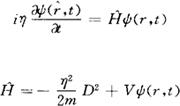
这种几率在宏观实验上呈现波动性,因此称为几率波,这种几率跟经典统计物理服从高斯分布的几率不相同,它的几率分布具有光的干涉波一样的特征。(3)波函数随时间和空间的变化服从一个不对称的运动方程:

方程含有虚系数,是1926年薛定谔(Shördiroger)建立的,适合非相对论运动的微观粒子。

(4)任何力学量体现一个实验操作算符,由算符构造一个本征方程φ(r,t)=λnφ(r,t),λ即为力学量在φ(r,t)下的测量值,称本征值,如果在实验中只能测到唯一的取值λ,则实验状态φ(r,t)称F1λ对应λ的本征态,非本征态时λ会有一系列所有可能取值,有连续值和断续值(量子化)两种类型。

(5)哥本哈根学派对量子力学测量的解释是所谓的“波包编缩”,对体系的单次测量只能得某个力学量的一个本征值。这就意味著体系在测量中处于这个本征值的本征态,测量过后改变了运动状态,因此下次测量又得到另一个本征值和相互的本征态,测量先后的运动状态变化称为“波包编缩”。哥本哈根学派对量子力学的理论体系形成做出了重大的贡献,是现代量子力学解释的流行观点。

随便看

 

离鸟网收录3541549条中英文词条,其功能与新华字典、现代汉语词典、牛津高阶英汉词典等各类中英文词典类似,基本涵盖了全部常用中英文字词句的读音、释义及用法,是语言学习和写作的有利工具。

 

Copyright © 2004-2024 vtrois.com All Rights Reserved
更新时间:2026/5/26 19:55:36