网站首页  词典首页


请输入您要查询的字词:

 

字词 商业银行
类别 中英文字词句释义及详细解析
释义 商业银行

一、商业银行概论

(一)商业银行的发展历史

商业银行一般是指吸收存款、发放贷款和从事其他中间业务的盈利性金融机构。

早期的银行是在资本主义社会以前的铸币兑换业的基础上逐步形成的。当时放款的主要对象是政府,并带有高利贷性质。随著18、19世纪产业革命在英、法等国的成功,资本主义制度得到基本确立,高利贷性质的银行业已不能满足经济发展对信用的需要,新兴资产阶级要求按低于平均利润率的利息率获得贷款,普遍要求压低利息率,使生息资本从属于商业资本和产业资本,这样,适应资本主义经济发展的现代商业银行的产生就有了客观基础。1694年,在资本主义发展较早的英国,由政府支持私人创办的股份形式的英格兰银行成立,标志著适应资本主义生产方式要求的新的信用制度的确立和现代商业银行的产生。此后,通过对旧式高利贷性质银行的改造和根据资本主义原则以股份制形式组建等两条途径,在西方国家出现了一批又一批形式不一、大小不等的商业银行。

中国早期曾出现过当铺、票号和钱庄等金融机构。中国自办的第一家现代商业银行——中国通商银行于1897年在上海成立。国民政府时期,各地兴办了一些商业银行,其中有些经营达到一定的规模。中华人民共和国建立后,确立了“大一统”的银行体制,中国人民银行既行使中央银行职能,又经营商业银行业务。1979年实行经济体制改革以来,改革了原来高度集中的单一银行体制,出现了多种类型的商业银行。目前主要有:
❶ 国有独资商业银行,如中国工商银行、中国农业银行、中国银行、中国建设银行;
❷ 股份制银行,如交通银行、光大银行、招商银行、华夏银行等;
❸ 城市商业银行;
❹ 外资银行、中外合资银行和外国银行分行。

(二)商业银行的基本特征

商业银行的基本特征可以概括为以下几点:
❶ 商业银行是信用中介机构。它是货币资本借者和贷者的中介,也是借者和贷者的集中。商业银行通过负债业务将社会上各种闲散资金集中起来,然后通过资产业务将这些资金投向国民经济中各个部门和单位,以满足经济发展对资金的需求。
❷ 商业银行是存款货币创造机构。商业银行利用其所吸收的各种存款发放贷款,在支票和转账结算的基础上,贷款又转化为活期存款,在这些存款不提取现金或不完全提取现金的情况下,商业银行再通过贷款将它们运用出去,从而形成数倍于原始存款的派生存款。其他金融机构不能吸收活期存款,开立支票账户,不具有创造存款货币的职能。
❸ 商业银行是经营货币的特殊企业。商业银行与一般工商企业一样,以利润的最大化为经营目标,但它又不同于一般工商企业。首先,它经营的是借贷资本——货币这一一般等价物的特殊商品,具有创造存款货币的功能;其次,它与客户之间的关系不像工商企业那样是商品或劳务的买卖关系,而是一种借贷关系,是以还本付息为条件的价值单方面转移。以上三点是商业银行最基本的特征。目前国内外商业银行的经营范围和经营方式已经起了很大的变化,但是只有具备这三个特征的才是原来意义上的商业银行。

(三)商业银行在金融体系中的地位

商业银行是金融体系的主体。首先,商业银行以其分支网点多,并运用各种形式吸收存款,形成巨额资金,这是其他金融机构和金融市场上单个投资者难以比拟的。其次,商业银行是国民经济中的支付枢纽,诸凡其他金融机构、企业、单位一般都要通过商业银行完成货币收付。再次,商业银行是同业拆借市场的主要成员,并通过贴现、转贴现介入票据市场,从而促进货币市场的发展。在有些国家允许商业银行在不同程度上参与证券市场,在这种情况下商业银行的资金进入和退出无疑是影响证券市场发展的重要力量。

(四)商业银行的组织机构和组织形式

商业银行的组织机构,一般由决策机构、执行机构和监督机构所组成。决策机构包括股东大会、董事会以及董事会下设的各种委员会。执行机构包括总经理(行长)以及总经理领导下的各种业务部门和职能部门。监督机构主要有监事会和各种检查委员会。

中国四家国有独资商业银行不设股东会,而是由国家授权投资的机构或部门,授权银行董事会行使股东会的部分职权,有关合并、分立、解散、增减资本等重大决策,则由国家授权投资的机构或主管部门决定。目前,四家国有独资商业银行中,只有中国银行设有董事会,中国工商银行、中国农业银行和中国建设银行均尚未设立董事会。

商业银行的组织形式,主要有五种类型。
❶ 总分行制。又称“分支银行制”。其特点是在总行之下,在本国和国外各地设立分支机构,形成一个以总行为中心的庞大的银行网络。总分行制按总行职能不同,又可进一步划分为总行制和总管理处制两种。
❷ 单一银行制。亦称“独立银行制”。其特点是银行业务完全由各自独立的商业银行经营,国内不设立或不准设立分支机构。
❸ 集团银行制。亦称“银行持股公司制”。其特点是由一个集团成立控股公司,再由该公司控制或收购两家以上的若干银行。在法律上,这些银行仍保持各自独立的地位,但其业务经营却由同一股权公司所控制。
❹ 连锁银行制。亦称“联合银行制”。其特点是由某一个人或某一个集团购买若干家独立银行的多数股票,从而达到控制这些银行的目的。
❺ 跨国银行集团制。亦称“国际财团制”。由不同国家的大商业银行合资成立银行或投资团,专门经营国际资金存款业务,进行大规模的投资活动。

中国商业银行均实行总分行制,其分支机构不具有法人资格,在总行授权范围内依法开展业务,其民事责任由总行承担。商业银行对其分支机构实行全行统一核算、统一调度资金、分级管理的财务制度。

二、商业银行的业务种类和业务范围

商业银行的业务,一般分为负债业务、资产业务、中间业务和表外业务四大类。

(一)商业银行的负债业务

负债业务是指银行吸收资金的业务,包括存款、借款两大类。负债业务决定著银行资金来源的规模和构成,是商业银行开办资产业务的前提和基础,是银行最基本的业务。

存款是商业银行最主要的资金来源,也是最主要的负债,一般占商业银行负债和资本总额的70%~80%,主要包括活期存款、定期存款和储蓄存款三种。
❶ 活期存款。传统的活期存款可随时支取,提取时一般无需提前通知,银行对存户在存款额内开出的支票须见票即付。近年来,为方便客户,扩大存款,在传统的活期存款之外,又产生了一些新型的活期存款,如特种支票存款、可转让支付命令账户、电话转账账户和客户授权自动转账账户和货币市场存款账户等。
❷ 定期存款。定期存款是按事先订立的期限存放在银行并取得较高利息的存款,存期一般在一个月以上,长则五年十年不等,存单一般不得自由转让。除传统的定期存款外,近几年又出现了一些新形式,如公开账户和大额可转让存单等。
❸ 储蓄存款。储蓄存款是由公众存入的零星款项,可分为活期储蓄和定期储蓄两大类。活期储蓄凭存折存取,利率较低。定期储蓄又可分为零存整取、整存零取、整存整取、存本取息等几种形式。除上述三类外,还有一些特殊的存款形式,如通知存款、定活两便存款等。

借款是商业银行通过其他途径借入的款项,包括短期借入款和发行金融债券两类。短期借入款分为:
❶ 同业借款。又分为银行同业拆借、同业抵押借款和转贴现。
❷ 向中央银行借款。分为再贴现、再抵押和直接借款(再贷款)。
❸ 从国际金融市场借款。其筹资工具,包括欧洲美元存单、固定利率的定期存单、浮动利率存单及本票等。
❹ 回购协议。

(二)商业银行的资产业务

资产业务是指银行把负债业务所获得的资金加以运用以取得收益的业务。主要包括现金资产业务、放款业务、投资业务、贴现和固定资产业务。其中,以放款业务、投资业务和贴现业务为主。

商业银行的现金资产,主要包括库存现金、存放中央银行的资金、存放同业的资金和托收中的资金。现金资产是银行资产中最富流动性的部分,但它的收益率较低。银行持有现金资产的目的,是满足客户提现和票据交换的需要。

商业银行的放款业务是其最重要的资产业务。商业银行的放款,可按不同的标准进行不同的分类。如按放款期限,可分为活期贷款、定期贷款和透支;按放款保障程度,可分为抵押放款、担保放款和信用放款;按偿还方式,可分为一次还清放款和分期偿还放款;按贷款金额大小,可分为批发放款和零售放款;按用途划分,又可分为工商企业放款、农业放款、消费放款和其他放款等。商业银行的放款利率,主要有固定利率、浮动利率、优惠利率、一般利率和惩罚利率等几类。

商业银行的投资业务,是其购买有价证券的活动。按投资对象的不同,可分为四种类型:政府债券(国债)投资,政府机构债券投资,地方政府债券投资和公司债券、股票投资。投资业务随近年来西方各国资产证券化趋势不断加强而在资产业务中占有越来越重要的地位。

商业银行的贴现业务是一种特殊的放款业务。银行应客户要求,以现款或活期存款买进未到期的票据(银行扣除贴现利息);票据到期后,银行向债务人索取票据所载金额。

商业银行的固定资产,是指商业银行拥有的房地产和设备。

(三)商业银行的中间业务

中间业务是指银行不需动用自己的资金,只代理客户承办收付和委托等事项,从中收取手续费的业务。主要有结算业务、信托业务、租赁业务、代理业务、咨询业务和银行计算机服务业务等。

结算业务是从商业银行存款业务中衍生出来的一种业务。按结算方式,可分为现金结算和非现金结算或转账结算。非现金结算的工具,主要有汇票、支票、本票、旅行支票、信用卡、托收、信用证、电子资金划拨等。

商业银行的信托业务,主要有个人信托、公司信托、公益信托、证券投资信托、动产或不动产信托等。

商业银行的租赁业务,包括融资性租赁、服务性租赁和其他租赁三大类。

代理融通业务,又叫代收账款或收买应收款,是由商业银行或专业代理融通公司代客户收取应收账款,并向客户提供资金融通的一种业务形式。

其他服务性业务,包括现金管理、咨询服务、保管箱业务以及利用银行先进的技术设备为客户提供的现金收款机、自动柜员机、售货点终端机、居家银行服务等自动化服务。

(四)商业银行的表外业务

表外业务是指在资产负债表以外的业务,其中一部分将转变为银行的实有资产和负债。表外业务主要有四类:
❶ 贷款承诺。包括透支、承兑票据、信贷限额、回购协议和承销证券等。
❷ 担保。包括正式担保、跟单信用证、备用信用证、保证、赔偿以及背书等。
❸ 一些调期和套头交易。
❹ 涉及包销证券、在二级市场上代理客户买卖证券、分销证券等。

(五)商业银行的业务范围

商业银行的业务范围,一般是由商业银行法规定的。从历史上看,有两种类型:
❶ 分业经营型。以美、日、英等国的商业银行为代表,其特点是限制商业银行从事证券投资,银行不得向企业投资。
❷ 综合经营型。以德国的商业银行为代表,允许商业银行开展投资业务,可以直接向企业投资,业务范围广泛。美国1980年通过了新的银行法案,放宽了业务范围,近年又进一步放松了业务范围管制。此后,日本银行法也打破了放款与证券分离的原则。从总的趋势看,国外商业银行正朝著综合经营的方向发展。

中国的商业银行目前实行的是银行业与证券业、保险业和信托投资业分业经营的体制,严格限制商业银行的投资业务。按照《中华人民共和国商业银行法》的规定,商业银行在境内不得从事信托投资和股票业务,不得投资于非自用不动产,不得向非银行金融机构和企业投资。

三、商业银行业务管理的一般原则

(一)商业银行的资产负债管理

1.商业银行资产负债管理的原则。商业银行的经营,必须坚持效益性、安全性、流动性的统一,实行自主经营,自担风险,自负盈亏,自我约束。这是一个国际惯例,也是商业银行资产负债管理的基本原则。效益性,是指银行获得利润的能力。商业银行作为经营货币资金的特殊企业,获取利润是其经营的核心目标和内在动力。衡量效益性的指标,主要有资产盈利率、资本盈利率、杠杆系数、资金成本率、贷款收益率、证券收益率等。安全性,是指银行的资产免遭风险,保证安全可靠经营的程度。商业银行作为经营货币资金的特殊企业,其经营对象的变化是国民经济综合变量的反应,受许多复杂的客观因素影响,再加上自有资本比较少(国际标准为8%),基本上是负债经营,是利用别人的钱来维持其资金运转,因而既面临较大的风险,又难以承受较大的损失,必须特别注意其经营的安全性。衡量安全性的标准,有存贷比率、资产对资本的比率、负债对流动资产的比率、有问题贷款比率等。流动性,是指银行能随时满足客户提取现金和正常贷款需要的能力。商业银行作为经营货币资金的特殊企业,其资金流动最为频繁,整个经营活动都要通过资金收付来进行,因此,必须使资产保持充分的流动性,随时满足存款提现和发放贷款的资金需要。衡量流动性的标准,通常有存贷比率、流动比率、备付金率等。效益性、安全性、流动性是个矛盾的统一体。它们既相互对立,又相互依存,必须在保证安全性和流动性的前提下,追求最大限度的利润。为此,必须实行自主经营,自担风险,自负盈亏,自我约束。实行“四自”,是坚持“三性”的前提和条件。

2.商业银行资产负债管理理论的演变。在西方商业银行出现后的三百多年内,资产负债管理的重点经历了三个阶段,即资产管理、负债管理和资产负债综合管理,并形成了相应的管理理论。
❶ 资产管理理论。它强调负债对银行来说是被动的,银行只能对资产加以主动管理,注重资产期限与负债期限的匹配。资产管理理论经历了真实性贷款理论、资产转移理论、预期收入理论、超货币供给理论、资产结构理论等不同的发展阶段。
❷ 负债管理理论。出现在20世纪60年代后,它把流动性管理的重点放在负债业务上,强调主动进取,通过开拓负债渠道,主动组织负债以扩大资产业务。这一时期,可转让存单、联邦基金、商业票据、回购协议和欧洲美元借款相继推出,成为筹集资金的选择工具。
❸ 资产负债综合管理理论。产生于20世纪80年代,它主要遵循偿还期对称原理和目标替代原理,强调从资产负债的结合上保持安全性、流动性和盈利性的统一。在80年代以后,还形成一种资产负债外管理理论,提倡从传统的业务外寻找新的业务领域,如表外业务。

3.商业银行资产负债管理方法。传统的资产负债管理方法,主要有资金集中法、资产分配法、线性规划法。资金集中法把银行各种负债看成一个整体,根据银行的需要在不同资产间分配,强调资产的流动性;资产分配法是根据负债的结构,确定资金的分配方向,注重资产负债期限结构的对称性;线性规划法采用数学方法,以银行利润最大化为目标,确定各项资产负债的数量。

现代资产负债管理的主要方法,是利率敏感性缺口分析。它将银行的资产和负债根据对利率变动的敏感性进行区分,即用其收益和成本对利率变化的调整时间来测定其利率的敏感性。资产负债管理实际上集中在控制其利率敏感性资产和利率敏感性负债的“缺口”上,把利率风险的管理作为资产负债管理的核心。通过对利率变动趋势的预测,调整资产负债的结构,满足银行资产负债管理的要求。

中国的利率控制权主要在中央银行,商业银行的资产对利率的敏感性较差,采用利率敏感性缺口管理的条件不成熟。现阶段以资产负债比例管理为主。主要比例有:存贷款比例、汇差清算比例、拆借资金比例、备付金比例、流动资产比例、中长期贷款比例、贷款质量指标和资本充足率等。

(二)商业银行的计划和决策管理

1.银行决策。银行决策是在银行经营管理过程中,对银行的发展目标、发展规划、行动方案、政策策略和重大措施等作出选择的经营管理活动。按其重要程度,可分为战略性决策和一般性决策;按其性质,可分为管理性决策和业务性决策;按其形式,可分为规范性决策和非规范性决策;按其决策者的地位,可分为高层决策、中层决策和基层决策;按其决策依据的条件和可靠程度,可分为确定性决策、风险性决策和非确定性决策;按其内容,分为宏观决策和微观决策。宏观决策属战略性决策;微观决策确定银行的经营巨标,确定银行资金运用、财务收支、人事和组织方面的计划和安排。

银行决策的一般程序为:发现问题,确定目标,确认准则,拟定方案,分析评估,方案选择,组织实施、监督检查等。

银行的决策方法,根据决策环境的不同,分为三类:
❶ 在确定型环境下,决策方法有财务比率法、投资回收期法、现金流量贴现法、净现值法、成本效益分析法、项目对照分析法、系统分析法。
❷ 在非确定型环境下,决策方法有乐观法、悲观法、后悔值法、乐观系数法、等可能性法等。
❸ 在风险型环境下,决策方法主要有期望值决策法、网络决策法、马可乐夫法、计划评审法等。

2.银行的信息管理。银行的信息,具有信源广泛性、信载可靠性和信宿有效性三大特征。银行信息的内容十分广泛,既有宏观信息,也有微观信息;既有内部信息,也有外部信息。银行信息经过搜集、加工、传输、贮存、运用等步骤,可有效地服务于银行决策。

3.银行的经济预测。银行经济预测,也是为银行决策服务的。预测要遵守系统性、连续性和定性分析与定量分析相结合的原则。银行经济预测的方法,可归结为定性分析法、定量分析法、计量模型分析法和产业关联分析法四类。

4.商业银行的计划管理。银行计划管理是银行各项业务活动的综合性管理,包括四个方面的内容:预测经济发展趋势;规划经营目标,选择最佳方案;进行计划的综合平衡;保证计划目标的实现。商业银行的计划,按时间长短可分为长期计划、中期计划、短期(年度)计划,按计划内容可分为综合经营计划和单项业务计划。单项业务计划分为信贷计划、现金收支计划、财务计划、劳动工资计划、职工培训计划、技术措施计划、基本建设计划、经济核算计划等。银行计划编制的方法,一般有比例法、动态法、平衡法。

(三)商业银行的市场营销

1.银行的市场营销计划。市场营销计划是银行战略计划的重要组成部分,它规定在某个时期运用某种战略或策略,以保证完成一定的营销目标。主要解决三个问题:银行的发展方向、发展目标和达到目标的方法。

2.金融产品开发。金融产品的种类很多,既有有形的无差异产品,如货币,又有有形的差异产品,如公债券、国库券、证券、银行承兑汇票、商业票据、信用证、信用卡、本票、支票、保险单、储蓄等;还有无形的金融产品,如放款、存款、结算、储蓄、咨询调查等金融服务。

金融产品的开发手段很多,通常包括:降低产品成本,扩大服务范围,通过重新组合和重新包装生产新产品,扩大和改善现有的服务。开发新产品要采取多种战略措施,可选用市场渗透战略、市场开发战略、服务或产品开发战略、服务多样化战略、饥饿型开发战略、扩展型开发战略、差异型开发战略、卫星产品开发战略。

3.金融产品的市场营销。市场营销是把“可盈利的银行服务的流向引导到经选择的客户的一种管理活动”,是银行按客户的要求调整提供的服务,同时为银行带来利润的活动。它包括四个阶段,即开发适当的银行产品和服务;定价;向现实客户和潜在客户促销和进行广告活动;建立适当的分销渠道和分行。上述四个阶段可简称为产品、价格、促销、渠道,构成了市场营销的四个基本因素。

由于不同客户的消费需求有很大的差异,银行提供的产品和服务也应不同。为此需要对市场进行细分,以制定不同的营销策略。细分的依据主要是地理、人口、心理和行为方面的变数。在市场细分的基础上,根据银行资源能力、产品特点、市场特点、产品寿命期和竞争对手的营销战略,确定目标市场,采取相应的市场策略,如无差异市场策略、差异性市场策略或密集性市场策略,以及松散性市场策略等。

4.金融公共关系。金融公共关系是金融机构处理好与公众,包括内部职员、储户、企业、财政、政府、同业的关系。银行一般通过制作广告、撰写新闻稿、赞助、召开股东年会、主办研讨会和庆典等手段,树立银行在公众中的良好形象,增进客户与银行间的相互了解,促进金融产品的销售。

(四)商业银行的财务管理

商业银行财务管理是利用价值形式对其业务经营过程中的内部资金和财务收支进行综合性管理的一种手段。财务管理的内容,包括财产管理、内部资金管理和损益管理。财产管理,分为固定资产管理和低值易耗品的管理;银行内部资金管理,包括对利润留成资金和暂收、暂付款的管理;损益管理,包括财务收入管理、财务支出管理和成本费用的管理。商业银行财务管理的具体方法,按照管理进程来划分,包括财务预测和决策,财务计划管理,财务控制和财务分析四个方面。

商业银行经济核算的主要内容包括五个方面,即核拨资本金和营运资金、自主运用资金、考核经济效果、核算损益、提取和使用利润留成等。

核算体系由银行会计核算、统计核算和业务核算构成。经济核算指标体系,由资金指标、质量指标、成本指标和利润指标等构成。资金指标有存款增减率、资金运用率,质量指标有有问题贷款和呆账率及资金损失率,成本指标有资金成本率、资金费用率,利润指标有利润增减率。

商业银行的财务报表是商业银行用来反映其在特定日期(月末、季末、年末等)的财务状况和在一定会计期间(月度、季度、年度等)内的经营成果的总结性书面文件。主要有资产负债表、损益计算书(亦称损益表)和财务状况变动表等。其中,使用最多的是资产负债表和损益表。

商业银行的财务分析。包括对商业银行的资金实力、清偿能力、经营效率、经营风险进行分析。财务分析的方法,主要有比率分析法(如变现比率、盈利能力比率、现金流量比率)、百分比或百分率分析法、趋势分析法、边际分析法、比较分析法、因素分析法、指数分析法等。财务分析根据分析内容的不同,设置不同的分析指标。分析资金实力的指标,有自有资金比率、资金自给率;分析清偿能力的指标,有现金资产比率、债权变现率、流动比率;分析经营风险的指标,有流动性风险比率、资本与风险比率、信用风险比率、利率风险比率;分析经营成果的比率,有财务杠杆比率、资金使用率或资金周转率、资产收益率或资本收益率、银行利差率、银行利润率等。

四、商业银行的风险管理

(一)风险管理一般

风险管理是80年代末期以来商业银行管理取得最大进展的领域。在中国,自从商业银行法颁行之后,风险管理逐渐成为银行管理的核心内容,但总体来看,这项工作刚刚开始。本文将主要引用国外银行的例子,来说明风险管理的主要内容。

商业银行的经营风险,是指在经营过程中由于各种因素使银行遭受资财或信誉损失的可能性。银行的经营风险是多种多样的,按照可否保险分为静态风险和动态风险,按照引起风险的原因分为信用风险、流动性风险、利率风险、汇率风险、投资风险、国家风险、竞争风险和财务风险。

银行经营风险产生的原因多种多样。从外部环境看,宏观因素有国家宏观经济政策、宏观经济条件、金融当局对商业银行监管的程度、国际经济环境等;微观因素有同业竞争、利率、汇率、自然环境、意外事故、银行业务的产业分布和地区分布等。银行风险产生的主观原因,有信息不灵,决策失误、员工缺乏工作责任心、对风险认识不充分等。

银行风险管理的目标与银行经营的总目标是一致的,就是以尽量小的机会成本使银行处于足够安全的状态。《关于统一国际银行资本衡量和资本标准的协议》规定的资本充足率,是国际上衡量商业银行安全程度公认的标准。

银行风险管理的内容,主要包括风险识别、风险分析与评价、风险控制和风险决策四个方面,也是风险管理的四个阶段。风险识别,主要是通过对财务报表的分析和对银行拥有的物质、人员、财务等风险环境因素的分析,识别风险因素。风险分析与评估的主要内容,有以借款人的能力、品格、资本、抵押品和经济状况为基本要素的信用风险分析,以包括利率风险、外汇风险、投资风险等为内容的市场交易风险分析,以包括政治风险和经济风险为内容的国家风险分析,以及流动性风险分析和经营风险分析等。风险控制是在风险发生之前或已经发生风险时,采取一定的方法和手段以减少风险损失、增加风险收益所进行的经济活动,包括风险回避、风险抑制、风险分散、风险转移、风险的保险和赔偿等。风险决策是在综合考虑风险和盈利的前提下,银行经营者根据其风险偏好,选择风险承担的决策过程。

(二)信用风险管理

商业银行风险管理的核心问题,是正确处理逆向选择和道德风险的问题。在信贷市场上所以发生逆向选择问题,是因为高信贷风险者(那些最有可能在贷款上违约的人)常常就是那些排著队申请贷款的人,即那些最有可能造成“逆向”结果的人,也常常就是那些被“选中”得到贷款的人。如果项目成功,那些有著巨大风险的投资项目的借款人将会大有好处,因而这些人最急于得到贷款。然而,由于他们有极大可能难以偿还贷款,显然是最不合适的借款人。贷款市场上所以存在这种风险,是因为借款人可能有积极性去从事那些被贷款人认为不适合的活动。在这种情况下,贷款人将更有可能遇到违约风险。一旦借款人得到贷款,他们即能进行高风险的投资,然而,高风险则使他们更有可能偿还不了贷款。商业银行为了能够赚取利润,必须解决那些可能导致贷款违约的逆向选择和道德风险问题。其主要措施如下:

1.加强筛选和监控。由于贷款市场上存在著逆向选择问题,要求银行将风险小的人们从风险大的人们中筛选出来作为提供贷款的对象,从而使银行放款有利可图。为了进行有效的筛选,银行必须从每一位借款人那里收集到可靠的信息,包括收集有关企业损益(收入)及资产和负债的信息等,他们亦还须估量该企业成功的可能性。银行信贷员除收集诸如销售额之类的信息之外,还须询问诸如企业未来的计划、如何使用贷款及行业竞争之类的情况。甚至还须访问有关公司,掌握第一手材料。商业银行为了减少道德风险,必须在贷款合约中写入限制借款者从事风险活动的条款(限制性契约)。通过对借款者从事的活动进行监控,审视借款者是否遵守限制性契约,一旦不执行即强制他们执行,保证借款者不从事那些从银行来看有损于银行利益的风险活动。一家成功的银行所以要在审计和收集信息活动上花那么多钱,其原因就在于,他们需要对贷款实行筛选和监控。

2.与客户建立长期联系。银行得到有关其借款人信息的另一条途径,就是同客户建立长期联系。如果一位借款者在一家银行长期保有支票账户或存款账户,或者曾借过其他贷款,信贷员就能从账户上观察客户的活动,并对借款者有所了解。由于银行监控的需要,使得与客户的长期联系多了一层重要性。长期联系,既使客户受惠,也使银行受益,甚至可使银行防范那些未预见到的道德风险。

3.贷款承诺。银行还通过向客户提供贷款承诺来创造长期联系和收集信息。贷款承诺是银行同意在未来某一时期中以某种与市场利率相关联的利率向企业提供某一限额之内的贷款承诺,是一种减少银行筛选和收集信息成本的有力手段,大部分工商业贷款都是在贷款承诺安排下发放的。这样做对企业的好处,就是当它需要贷款时便能及时得到;对银行的好处则在于,贷款承诺开创了一种长期联系,便利它的信息收集工作。提供贷款承诺,要求企业连续不断地提供其收入、资产和负债状况、经营活动等的信息。

4.抵押和补偿余额。对于贷款来说,抵押要求是信用风险管理的重要工具。抵押物是借者允诺一旦发生违约便提供给贷款者作为赔偿的财产,它弱化了逆向选择的后果。一旦借款者在贷款上发生了违约,贷款者可以出售这些抵押物并用之弥补贷款损失。银行在发放工商业贷款时所要求的一种特殊的抵押叫做补偿余额。在这种安排下,取得贷款的企业必须在其支票存款账上保留一定最低数额的资金,以提高贷款偿还的可能性。它有助于银行进行监控,便于银行观察企业的支付活动,可以得到大量有关借款者财务状况的信息,从而使道德风险降至最小。

5.信用配给。信用配给是商业银行对其拥有的可贷资金的合理分配,即只将贷款发放给风险小、有还款保证的借款者,而对有逆向选择和道德风险的借款者拒绝提供贷款。哪怕借款者愿意支付较高的利率,银行也拒绝向其发放任何数额的贷款。因为此类贷款的风险太大,极可能发生借款者投资失败,银行贷款得不到偿还的后果。如果贷款项目能稳获巨额收益,借款者过去的信誉一向良好,仅因贷款规模过大、风险加大,银行也可以向其发放贷款,但数额应低于借款者的要求。

(三)利率风险管理

20世纪80年代以来,利率的波动越来越大。面对这种情况,各商业银行越来越关注其面对的利率风险问题,即那种与利率变化有关的收入和回报上的风险。为了观察利率风险的方方面面,现举ABC银行为例。

从表4-1中可以看出,该行总额为2000万元的资产是利率敏感型的,其利率变动得比较频繁,每年至少变动一次。8000万元的资产是固定利率,其利率长期(一年以上)保持不变。在负债一方,该行有5000万元利率敏感负债和5000万元固定利率负债。假定利率提高5个百分点,比如,其平均水平从10%提高到15%,则该行的资产收益增加100万元(=5%×2000元的利率敏感型资产),而其对负债的支付则增加了250万元(=5%×5000万元利率敏感型负债),利润减少了150万元(=100万元-250万元)。反之,如果利率下降了5个百分点,根据同理,ABC的利润将增加150万元。可见,如果银行拥有的利率敏感型负债多于利率敏感型资产,则利率的提高将使其利润下降,而利率的下降则使其利润增加。商业银行研究分析银行利润对利率变化的敏感性,可用缺口分析和存续期分析两种方法。

表4-1 ABC银行资产负债表

缺口分析中的缺口,指的是利率敏感型资产与利率敏感型负债之差。在上例中,这一“缺口”为-3000万元(=2000万元-5000万元)。通过将缺口与利率的变化相乘,可知利润所受的影响多大。在上例中,当利率提高5个百分点时,利润的变化为-3000万元×5%,即为-150万元。

上面的基本缺口分析,还可以通过两条途径使之精细化。我们知道,固定利率资产和固定利率负债的期限显然是不相同的。将基本缺口分析精细化的方法之一是期限队列法,用以衡量若干次级期限即期限队列的缺口。使用这种方法,可以计算出利率的变化在一个时期中对于拥有多重结构的资产和负债的影响。还有一种方法称为标准化缺口分析。它考虑了不同的资产和负债的利率敏感度的差别。

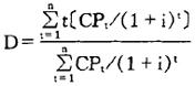
存续期分析衡量的是银行总资产和总负债的市场价值对利率变化的敏感度。分析的基础是麦考利的存续期概念。用数学符号表示,麦考利存续期D的概念可定义为:

式中,t=现金支付之前的时间;CPt=时间t时的现金支付(利息加本金);i=利率;n=证券到期清偿前的时间。

存续期度量的是一个证券的支付流的平均存续期。它是一个有用的概念,因为它为估计证券的市场价值对利率变化的敏感度提供了一个很好的近似值:

证券市场价值的变化≈-利率变动的百分点×存续期

存续期分析方法利用银行资产和银行负债的平均存续期去分析银行的利率变化对银行净值的影响。仍以ABC银行为例:假定其资产的平均存续期为3年(即支付流的平均期限为3年),而其负债的平均存续期则为2年,有1亿元的资产和9000万元的负债,银行资本金为其资产的10%。当利率提高5个百分点时,银行资产的市场价值下降15%(=-5%×3年),即其1亿元的资产减少了1500万元,其负债的市场价值下降了10%(=-5%×2年),即其9000万元的负债减少了900万元,综合净结果是,该银行的净值(资产的市场价值减去负债的市场价值)减少了600万元,或原来的资产总值减少了6%。同理,若利率下降5个百分点,则该行的净值将增加其资产总值的6%。存续期分析也说明商业银行将因利率提高而受损,因利率下降而受益,并能明确告诉银行所面对的利率风险程度。

商业银行进行了存续期和缺口分析之后,就须决定其需要采取的战略。在商业银行拥有的利率敏感型负债多于利率敏感型资产的条件下,如果它们坚信利率在未来将下降,就不需要采取任何行动。因为银行拥有的利率敏感型负债多于利率敏感型资产,将会在利率下降时受益。但它们也必须认识到利率风险的严重性,因为利率总是有可能上升而不会永远下降的。因此,它们又需要在适当的时机去缩短银行资产的存续期以提高其利率敏感性,或者,延长负债的存续期以降低其利率敏感性。通过对银行资产和负债做这样的调整,银行受利率变动的影响就会逐渐变少。

但是,商业银行要在短期内通过改变资产负债表来消除银行风险问题,所需支付的成本可能甚高。然而,金融工具的发展,已经能够帮助银行更容易地管理其利率风险。例如,1981年在欧洲债券市场上出现的利率套期,就是可以使利率敏感型资产多于利率敏感型负债金融机构的支付流与利率敏感型负债多于利率敏感型资产的金融机构的支付流相互“套换”,从而降低双方的利率风险。利率套期是一种花费较少的降低利率风险手段。银行也可利用金融期货市场和债务工具期权市场进行套作保值来减少利率风险。金融期货市场和债务工具的期权市场的优点在于,它的交易成本要比利率套期市场低。但是,它也存在著一个重大缺点,即这些市场上的合约都是标准化的,因而难以被精确地分割开来或组合起来去满足银行的需要。于是,利率套期、金融期货、债务工具的期权等都被银行用来管理利率风险。

(四)资本充足性管理

资本充足性管理,指的是银行管理当局运用法律手段,强制地要求商业银行将其自有资本对总资产的比率保持在某一水平之上,以防范风险。银行防范经营风险,保证安全可靠运营,可能受许多因素的影响。其中,资本充足率管理是重要一条。银行资本金用于防范银行倒闭,若自有资本比较少(《关于统一国际银行资本衡量和资本标准的协议》确定银行资本充足率为8%),银行不能履行其对存款者和其他债权人的支付义务,必将陷入困境。当银行资不抵债时,政府管理者将关闭银行,其资产将被拍卖;若自有资本充足,就可以作为缓冲,将损失吸收掉。这是银行必须保持高水平资本金的一个重要原因。但是,银行资本金的数量又会影响到其所有者的收益。银行资本金过低,出现资不抵债时,就会发生银行倒闭的可能性;而资本金过高时,银行股本回报率则会降低,这会影响银行的收益。测度银行盈利性的基本指标是资产回报率(ROA),即每一元资产的税后利润。用公式表示:

资产回报率提供了银行经营好坏的信息。当然,资产回报率是通过股权投资赚了多少钱,即股权回报率(ROE)反映出来的。用公式表示:

然而,资产回报率衡量的是银行经营状况,股权回报率衡量的是所有者的投资回报,二者之间存在著直接联系,它们体现在所谓股本乘数(EM)上,即等于每一元股权资本的资产量。用公式表示:

根据定义,可知:

ROE=ROA×EM

在实践中,银行可以通过三条途径来提高其自有资本率,即:发行股票(普通股),增加资本金;减少对股东分配红利,增加资本积累;减少贷款以减少负债,保持资本充足率。

五、商业银行业务的发展趋势

自20世纪70年代以来,以新型化、自由化、多样化为特征的金融创新活动在全球高潮迭起,引起了金融领域的巨大变革,从而使商业银行呈现出以下发展趋势:

(一)资本集中程度提高

为提高竞争力,各商业银行想方设法扩大自己的业务规模和范围,银行间的收购、合并、吞并不断出现。不仅一些中小银行因竞争加剧陷于困境,纷纷破产或被兼并,而且,大银行倒闭和大银行间的合并事件频频发生,出现了一些特大型银行。结果是银行数量越来越少,银行规模却越来越大。同时,各金融机构的相互渗透也在加深,银行持股公司、控股公司等发展迅速,银行业与其他金融业日趋一体化,改变了传统的银行组织形式,银行资本愈加集中,少数大银行垄断性增强。

(二)国际化进程加快

20世纪70年代以来,主要工业化国家的银行纷纷调整经营战略,广泛开展国际银行业务,大量增设国外分支机构,并开放本国银行业务市场,大大加快了银行国际化的进程。出现了一大批拥有雄厚资产和广泛的国际经济网络,采取联合经营形式的跨国银行,打破了银行业务的地理障碍。

(三)金融新产品层出不穷

为吸引客户,商业银行不断推出新型的金融产品。在负债业务方面,推出的产品有大额可转让定期存单、NOW账户、超级NOW账户、货币市场存款证、货币市场存款账户、小额储蓄存单、股金汇票账户等数十种;资产业务方面,新的贷款种类有银团贷款、浮动特惠利率贷款、多通货期权贷款,以及备用贷款承诺、循环贷款、备用信用证等;各种表外业务发展更为迅猛,如担保性服务、信托、代理、信息咨询、金融顾问、证券业务服务等,大大扩展了银行的业务空间。

(四)银行资产证券化趋势明显

进入20世纪80年代中期,由于国际金融市场融资方式明显的证券化趋势和商业银行自身加强资产负债管理的需要,各国商业银行的资产结构发生了明显变化,投资业务在银行资产业务中所占比例明显增加。银行已成为国家债券的重要持有者和发行者。

(五)电子技术在金融领域得到广泛运用

电脑和先进通讯技术的广泛运用,使银行业的信息传递和处理能力大大增强,开拓了很多新的业务领域,如信用卡、支票卡、自动柜员机、记账卡、灵光卡等;业务处理及支付系统的电子化,使银行资金调拨更为迅速,交易成本大幅度下降;银行信用支付系统、家庭银行服务、现金管理系统、电子数据交换等电子网络的出现,使银行的交易手段、交易方式乃至于制度发生了根本的变化。

(六)银行经营风险增加

传统的信用风险、投资风险、利率风险、汇率风险有增无减,金融创新又带来了许多新的风险。首先是表外业务的风险猛增,如各种贷款承诺、融资性或非融资性的担保、特别是与利率、汇率及与证券市场价格相关的互换、期货、期权交易都使银行承受著很大的风险。其次是电子转账和信息系统的风险,如计算机故障和机器故障等。金融业务的国际化和金融机构的相互依赖加深也导致金融风险对金融机构的相互影响增大,商业银行经营管理难度进一步提高。1997年下半年以来,由泰国首先发生的货币危机,迅速扩展整个东南亚和东亚,形成金融风暴,其来势之猛,扩展之快,为历史罕见,足以说明金融全球一体化,所带来的巨大风险不可忽视。

(七)普遍加强了风险管理

针对金融业务风险加大的趋势,西方商业银行调整了经营管理的重点,普遍强化了风险管理。其主要措施有:
❶ 严格服从金融当局的监管,强化资产负债比例限制。金融当局对商业银行的开业条件、业务范围、资本充足率、资产质量和管理水平等都作出了严格的规定,并制定了大量的金融法规,以保证金融系统的稳健运行。
❷ 严格遵守《关于统一国际银行资本衡量和资本标准的协议》,保持必要的资本充足率,使核心资本和总资本与风险资产的比例达到高于4%和8%的标准。
❸ 既注重表内业务的风险管理,又加强对表外业务的风险管理。对表内业务的风险管理,主要集中在对流动性风险、信用风险、利率风险、投资风险的衡量和防范上。表外业务风险管理的重点放在对风险的洞察和评价,特别是对潜在风险的识别上,同时制定了很多业务操作规则。
❹ 制定并严格执行各项规章制度。如贷款审贷分离制度、逐级审计制度、内部控制制度、稽核制度等。

随便看

 

离鸟网收录3541549条中英文词条,其功能与新华字典、现代汉语词典、牛津高阶英汉词典等各类中英文词典类似,基本涵盖了全部常用中英文字词句的读音、释义及用法,是语言学习和写作的有利工具。

 

Copyright © 2004-2024 vtrois.com All Rights Reserved
更新时间:2026/4/6 12:36:42