喷他非康A
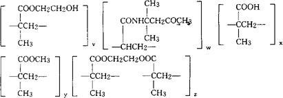
(C6H10O3)v(C9H15NO2)w(C4H6O2)x(C5H8O2)y(C10H14O4)z CAS-82571-55-9 2-羟乙基-2-甲基-2-丙烯酸与N-(1,1-二甲基-3-氧代丁基)-2-丙烯酰胺,2-甲基2-丙烯酸,2-甲基-2-丙烯酸甲酯和1,2-乙烷二基双(2-甲基-2-丙烯酸酯的聚合物。 2-Hydroxyethyl 2-methyl-2-propenoic acid,polymer with N-(1,1-dimethyl-3-oxobutyl)-2-propenamide,2-methyl-2-propenoicacid,methyl2-methyl-2-propenoate and 1,2-ethanediyl bis(2-methyl-2-propenoate. 异丁烯酸2-羟乙酯与N-(1,1-二甲基-3-氧代丁基)丙烯酰胺,异丁烯酸,异丁烯酸甲酯和乙烯二异丁烯酸酯的共聚物。 2-Hydroxyethyl methacrylate polymer with N-(1,1-dimethyl-3-oxobutyl)acrylamide,methacrylic acid,methyl methacrylate and ethylene dimethacrylate. 隐形眼镜材料(亲水性)。 Pentafilcon A,E-52. USAN.  |