网站首页  词典首页


请输入您要查询的字词:

 

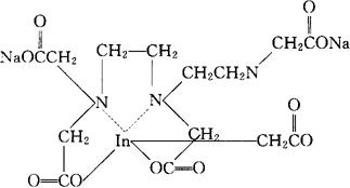
字词 喷替酸铟[111In]二钠
类别 中英文字词句释义及详细解析
释义 喷替酸铟[111In]二钠

C14H18111InN3Na2O10

CAS-60662-14-8

N,N-双[2-[双(羧甲基)氨基]乙基]甘油酸基(5-)]-铟(2-)-111In-二钠。

[N,N-bis[2-[bis(Carboxymethyl)amino]ethyl]glycinato(5-)]indate(2-)-111In-disodium.

[N,N-双[2[双(羧基甲基)氨基]乙基]甘油酸基(5-)]铟(2-)111In-二钠。

Disodium[N,N-bis[2-[bis(carboxymethyl)amino]ethyl]glycinato-(5-)]indate(2-)-111In.

诊断用药。

Pentetate Indium Disodium In 111.

USAN.

随便看

 

离鸟网收录3541549条中英文词条,其功能与新华字典、现代汉语词典、牛津高阶英汉词典等各类中英文词典类似,基本涵盖了全部常用中英文字词句的读音、释义及用法,是语言学习和写作的有利工具。

 

Copyright © 2004-2024 vtrois.com All Rights Reserved
更新时间:2026/4/7 21:28:54