网站首页  词典首页


请输入您要查询的字词:

 

字词 喷水管喷水孔喷水量的计算
类别 中英文字词句释义及详细解析
释义 喷水管喷水孔喷水量的计算

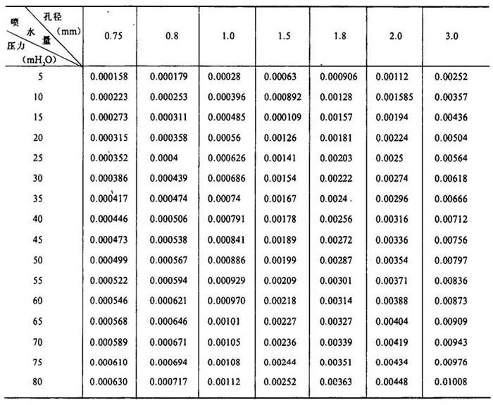
[说明]喷水管喷水孔单位时间内的喷水量是由喷水压头和喷孔的直径决定的,见表4-2-7。

表4-2-7 不同孔径的喷水孔在不同压力下每个喷孔的喷水量(m3/min)

随便看

 

离鸟网收录3541549条中英文词条,其功能与新华字典、现代汉语词典、牛津高阶英汉词典等各类中英文词典类似,基本涵盖了全部常用中英文字词句的读音、释义及用法,是语言学习和写作的有利工具。

 

Copyright © 2004-2024 vtrois.com All Rights Reserved
更新时间:2026/4/7 11:57:14