嗪朵西芬
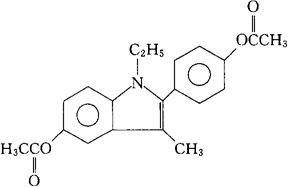
C21H21NO4=351.40 CAS-86111-26-4 1-乙基-2-(对-羟苯基)-3-甲基吲哚-5-醇二醋酸酯。 1-Ethyl-2-(p-hydroxyphenyl)-3-methylindol-5-ol diacetate(ester). 2-[(4-乙酰氧)苯基]-1-乙基-3-甲基-1H-吲哚-5-醇乙酸酯。 2-[(4-Acetyloxy)phenyl]-1-ethyl-3-methyl-1H-indol5-ol acetate(ester). 雄激素拮抗药(乳腺癌抑制药)。 Zindoxifene,D 16726,NSC 341952. INN,USAN.  |