网站首页  词典首页


请输入您要查询的字词:

 

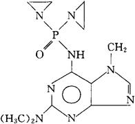
字词 嘌嘧替派
类别 中英文字词句释义及详细解析
释义 嘌嘧替派

C12H19N8OP=322.31

CAS-42061-52-9

P,P-双(1-吖丙啶基)-N-[2-(二甲氨基)-7-甲嘌呤-

6-基]次磷酸酰胺。

P,P-bis(1-Aziridinyl)-N-[2-(dimethylamino)-7-methylpurin-6-yl]phosphinic amide.

抗肿瘤药。

Pumitepa,Fopurine,Phopurin.

INN,USAN.

随便看

 

离鸟网收录3541549条中英文词条,其功能与新华字典、现代汉语词典、牛津高阶英汉词典等各类中英文词典类似,基本涵盖了全部常用中英文字词句的读音、释义及用法,是语言学习和写作的有利工具。

 

Copyright © 2004-2024 vtrois.com All Rights Reserved
更新时间:2026/5/26 4:47:56