网站首页  词典首页


请输入您要查询的字词:

 

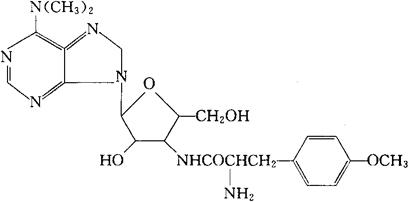
字词 嘌罗霉素
类别 中英文字词句释义及详细解析
释义 嘌罗霉素

C22H29N7O5=471.52

CAS-53-79-2

3′-(L-α-氨基-对-甲氧基氢化肉桂酰胺基)-3′-脱氧-N,N-二甲基腺苷。

3′-(L-α-Amino-p-methoxyhydrocinnamamido)-3′-deoxy-N,N-dimethyladenosine.

抗肿瘤药。

Furomycin,Stylomycin.

INN,BAN,NFN,USAN,MI.

随便看

 

离鸟网收录3541549条中英文词条,其功能与新华字典、现代汉语词典、牛津高阶英汉词典等各类中英文词典类似,基本涵盖了全部常用中英文字词句的读音、释义及用法,是语言学习和写作的有利工具。

 

Copyright © 2004-2024 vtrois.com All Rights Reserved
更新时间:2026/5/30 20:10:50