网站首页  词典首页


请输入您要查询的字词:

 

字词 噁丙嗪
类别 中英文字词句释义及详细解析
释义 噁丙嗪

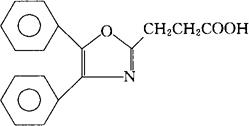
C18H15NO3=293.32

CAS-21256-18-8

4,5-二苯基-2-噁唑丙酸。

4,5-Diphenyl-2-oxazolepropanoic acid.

抗炎药。用于慢性风湿性关节炎、变形性关节炎、腰痛症、变形性脊椎症、颈肩腕综合征、肩关节周围炎等。

Oxaprozine,MY 21743,Actirin,Durapro,Duraprox.

INN,BAN,USAN,MI.

随便看

 

离鸟网收录3541549条中英文词条,其功能与新华字典、现代汉语词典、牛津高阶英汉词典等各类中英文词典类似,基本涵盖了全部常用中英文字词句的读音、释义及用法,是语言学习和写作的有利工具。

 

Copyright © 2004-2024 vtrois.com All Rights Reserved
更新时间:2026/5/25 8:07:26