噁唑灵
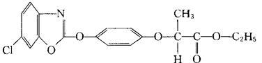
又称骠马。 苯氧基类内吸苗后除草剂。由除草活性部分对乙基苯氧丙酸与安全剂复合而成。 有效成分的化学名称:乙基(R)-2-〔4-(6-氯苯并噁唑-2-基氧)-苯氧基〕丙酸盐。 化学结构式如下。 有效成分原药为无色、无臭晶体,密度1.3(20℃),熔点85~87℃,20℃时蒸气压529.29×10-9Pa。微溶于水,可溶于多数有机溶剂。 有效成分可被植物的叶、茎迅速吸收,并输导到叶基和茎、根部的生长点。对乙基苯氧丙酸进入植物体内,迅速转化成苯氧基丙酸的游离酸,抑制脂肪酸的生物合成,使根、茎部生长点细胞膜形成受阻,导致植物死亡。 对乙基苯氧丙酸进入小麦体内,在安全剂作用下很快分解成无生物活性的代谢物,从而防止作物受到危害。只适用于小麦、黑麦,可防除看麦娘、野燕麦、早熟禾、虉草、稗、千金子、狗尾草、黍等多种禾本科杂草,对阔叶杂草无效。 对人、畜低毒,大鼠急性口服为LD502090~3040mg/kg,急性经皮LD50>2000mg/kg。对鸟、鱼低毒,对蜜蜂无毒。 
|