噁庚草烷
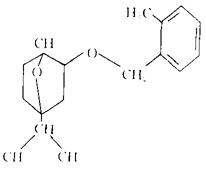
又称仙治、艾割。 有机杂环类内吸、选择性除草剂。化学名称:1-甲基-4-(1-甲基乙基)-2-〔(2甲基苯基)甲氧基〕-7-噁二环(2,2,1)庚烷。化学结构式如下。原药为琥珀色液体,密度1.014,沸点313土2℃,20℃时蒸气压1013.2×10-5Pa。微溶于水,可与多种有机溶剂混溶。易光解,pH3~11条件下稳定。可被根部吸收,传导到根及芽的生长点,抑制分生组织的生长,使之死亡。水稻、棉花、花生等的耐药力较强,药剂进入植物体内代谢后成共轭化合物而失去活性。 适于水稻、花生、棉花及大豆等作物,防除稗草、野燕麦、鸭舌草、瓜皮草、节节草、碎米莎草、牛筋草、马唐、狗尾草、苋、藜、豚草等一年生杂草。 水稻田移栽后5~8天,稗草1.5叶期,棉花、花生、大豆等播后苗前使用,对人、畜低毒,大鼠急性口服LD50为4500mg/kg,急性经皮LD50>2000mg/kg,急性吸入LC50>3.5mg/L。对眼、皮肤有刺激性。 
|