网站首页  词典首页


请输入您要查询的字词:

 

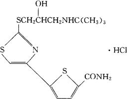
字词 噻吩洛尔
类别 中英文字词句释义及详细解析
释义 噻吩洛尔

C15H21N3O2S3=371.53

CAS-68377-92-4

(±)-5-[2-[[3-(叔-丁氨基)-2-羟丙基]硫代]-4-噻唑基]-2-噻吩甲酰胺。

(±)-5-[2-[[3-(tert-Butylamino)-2-hydroxypropyl]thio]-4-thiazolyl]-2-thiophenecarboxamide.

5-[2-[[3-(1,1-二甲基乙基)氨基]-2-羟丙基]硫代]-4-噻唑基]-2-吩噻甲酰胺。

5-[2-[[3-(1,1-Dimethylethyl)amino]-2-hydroxypropyl]thio]-4-thiazolyl]-2-thiophenecarboxamide.

β-受体阻滞药。

阿罗洛尔。

Arotinolol,Tarotiolol.

INN,USAN.

随便看

 

离鸟网收录3541549条中英文词条,其功能与新华字典、现代汉语词典、牛津高阶英汉词典等各类中英文词典类似,基本涵盖了全部常用中英文字词句的读音、释义及用法,是语言学习和写作的有利工具。

 

Copyright © 2004-2024 vtrois.com All Rights Reserved
更新时间:2026/4/6 15:28:25