网站首页  词典首页


请输入您要查询的字词:

 

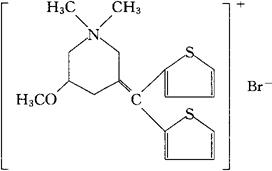
字词 噻哌溴铵
类别 中英文字词句释义及详细解析
释义 噻哌溴铵

C17H22BrNOS=400.39

CAS-35035-05-3

3-(二-2-噻嗯亚甲基)-5-甲氧-1,1-二甲基-哌啶鎓溴化物。

3-(Di-2-thienylmethylene)-5-methoxy-1,1-dimethylpiperidinium bromide.

抗胆碱药,解痉药。

Timepidium Bromide,SA 504,Sesden,Staburin.

INN,JAN,USAN,MI.

随便看

 

离鸟网收录3541549条中英文词条,其功能与新华字典、现代汉语词典、牛津高阶英汉词典等各类中英文词典类似,基本涵盖了全部常用中英文字词句的读音、释义及用法,是语言学习和写作的有利工具。

 

Copyright © 2004-2024 vtrois.com All Rights Reserved
更新时间:2026/4/6 23:08:48