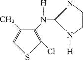
噻美尼定
C8H10ClN3S=215.70 CAS-31428-61-2 N-(2-氯-4-甲基-3-噻嗯基)-4,5-二氢-1H-咪唑-2-胺。 1H-Imidazol-2-amine,N-(2-chloro-4-methyl-3-thienyl)-4,5-dihydro. 2-[(2-氯-4-甲基-3-噻嗯基)氨基]-2-咪唑啉。 2-[(2-Chloro-4-methyl-3-thienyl)amino]-2-imidazoline. 抗高血压药。 噻甲压定。 Thiamenidine,Symcor Base TTS,HOE440. INN,BANS,USAN.  |