网站首页  词典首页


请输入您要查询的字词:

 

字词 四段串联真空洗浆机的黑液平衡计算及实例
类别 中英文字词句释义及详细解析
释义 四段串联真空洗浆机的黑液平衡计算及实例

【例】 已知条件:

从蒸煮锅随浆料来的黑液量V0(m3/t风干浆):6.6

进入黑液固形物含量G0(kg/t风干浆):1750

喷放锅下部浆料浓度C(%):3

进洗浆机浆料浓度C′(%):1.25

出洗浆机浆料浓度C′(%):14

洗涤热水用量W(m3/t风干浆):8

洗后浆料含水量C(%):12

洗后浆料带走碱量G1(kg芒硝/t风干浆):30

洗后浆料带走碱量Na2SO4含量m(%):95%

洗后浆料黑液固形物中含Na2O量d(%):23

假设:

提取黑液量为V(m3/t风干浆)

随洗涤浆料带走的水量为M(m3/t风干浆)

提取黑液中的固形物量为G(kg/t风干浆)

洗后浆料带走的固形物为N(kg/t风干浆)提取黑液浓度为C(g/L)平衡方框图如下:

解:
❶ 提取黑液量V的计算

由于洗涤系统是封闭的,没有物质排入地沟,故总平衡方程为:

提取黑液量V:

❷ 提取黑液中绝干固形物量G的计算

绝干固形物总平衡:

提取黑液中绝干固形物G:

❸ 提取黑液浓度C的计算

即12°Be(15C)

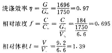
❶ 洗涤效果计算

❺ 提取黑液浓度C与洗涤用水量W的关系

假设洗后浆料带走的碱与洗涤用水量无关,则提取黑液浓度与洗涤用水量的关系为:

随便看

 

离鸟网收录3541549条中英文词条,其功能与新华字典、现代汉语词典、牛津高阶英汉词典等各类中英文词典类似,基本涵盖了全部常用中英文字词句的读音、释义及用法,是语言学习和写作的有利工具。

 

Copyright © 2004-2024 vtrois.com All Rights Reserved
更新时间:2026/4/7 12:02:36