四氧普林
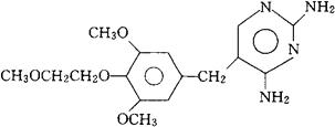
C16H22N4O4=334.37 CAS-53808-87-0 5-[[3,5-二甲氧-4-(2-甲氧基乙氧)]苯甲基]-2,4-嘧啶二胺。 5-[[3,5-Dimethoxy-4-(2-methoxyethoxy)]phenylmethyl]-2,4-pyrimidinediamine. 2,4-二氨基-5-[3,5-二甲氧-4-(2-甲氧基乙氧)苄基]嘧啶。 2,4-Diamino-5-[3,5-dimethoxy-4-(2-methoxyethoxy)benzyl]pyrimidine. 抗感染药,抗菌药,二氢叶酸阻断药。 Tetroxoprim. INN,BAN,USAN.  |