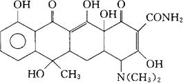
四环素[典]
C22H24N2O8=444.44 CAS-60-54-8 4-二甲氨基-1,4,4a,5,5a,6,11,12a-八氢-3,6,10,12,12a-五羟-6-甲基-1,11-二氧-2-并四苯甲酰胺。 4-(Dimethylamino)-1,4,4a,5,5a,6,11,12a-octahydro-3,6,10,12,12a-pentahydroxy-6-methyl-1,11-dioxo-2-naphthacenecarboxamide. 抗生素类药。用于革兰氏阳性球菌和阴性杆菌的感染、斑疹伤寒、恙虫病等立克次体的感染、阿米巴痢疾及非典型性肺炎。 Tetracycline,Tetracyn,SK-tetracycline. 四环素片,四环素眼膏,四环素软膏,四环素胶囊。 INN,BAN,BP,DCF,DCIT,FP,JP,NF,NFN,USNA,USP,MI.  |