四通阀控制液压缸
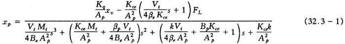
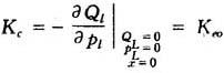
四通阀控制液压缸简称四通阀控缸,其组成回路如图32.3-1所示。它的能源采用恒压源。 一般四通阀多用理想的零开口阀或正开口阀。其传递函数表达式为  式中 xp——液压缸活塞位移; xv——液压滑阀位移; Mt——活塞及折算到活塞上的总质量; Bp——活塞及负载等运动件的粘性摩擦系数; k——负载运动时的弹性负载刚度; FL——作用在活塞上的综合负载力; Vt——液压缸等效总容积; Ap——活塞面积; βe——液压流体的容积弹性模量; Kce=Kc+Ct,包括泄漏在内的总的压力流量系数。其中Ct总是泄漏系数 ,Ci,Ce分别为内外泄漏系数。Kc为阀的压力流量系数,一般取  |