网站首页  词典首页


请输入您要查询的字词:

 

字词 回归分析
类别 中英文字词句释义及详细解析
释义 回归分析

用建立数学模型(即回归方程式)来反映变量之间联系规律,从而由自变量数值推测因变量数值的方法。

设有因变量Y(Y亦可能是多个),若对Y有影响的全部因素即自变量为X1,…,Xr,即一般有关系式Y=f(X1,X2,…,Xr)。但由于种种限制,实际上只能考虑主要变量X1,…,Xs,(S<r),这时就有关系式Y=f*(X1+…+Xs)+e,e为随机误差。当X1,…,Xs选定后,就需要估计f*及误差e,由此求得的f*称为Y对X1,…,Xs的回归函数。

对f*在形状上不作规定的,为非参数回归;对f*在形状上假定有一定的数学形式,其中有一些待定参数的,为参数回归。

参数回归中最重要的是线性回归,即f*是若干未知参数β1,…,βp的线性函数:f*(X1,…,Xs)=βjfj(X1,…,Xs),fj为已知函数。当对Y和X1,…,Xs作n次试验,得n个方程:Yi=#βjfj*(X1i,…,Xsi)+ei(i=1,…,n)。令Xj=fj*(X1,…,Xs)(j=1,…,p),则有线性模型Y=Xβ+e

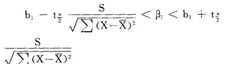
随机误差e常被假定服从均值为0(误差无偏性)的正态分布,方差的齐性(D(ei)=σ2),及误差独立性(E(eiej)=0)等。只有两个变量X,Y的简单线性模型为Y=β01X+e,样本回归直线方程是=b0+b1X,b0、b1分别是估计的截距与回归系数,其值由最小平方法确定。

根据该方程可对X、Y的关系进行研究,并作预测分析。若置信度为1-α,β1的置信区间是

S为剩余标准差。给定X0,相应Y0的预测区间

当X、Y间呈非线性相关时,一定情况下可作适当的变量替换化为线性关系处理。在多元线性回归的情况下,可利用正交多项式计算,或用逐步回归等方法以追求最优回归方程。

随便看

 

离鸟网收录3541549条中英文词条,其功能与新华字典、现代汉语词典、牛津高阶英汉词典等各类中英文词典类似,基本涵盖了全部常用中英文字词句的读音、释义及用法,是语言学习和写作的有利工具。

 

Copyright © 2004-2024 vtrois.com All Rights Reserved
更新时间:2026/4/9 6:29:39