网站首页  词典首页


请输入您要查询的字词:

 

字词 回归预测法
类别 中英文字词句释义及详细解析
释义 回归预测法

税务预测常用的一种数学预测方法。

它是运用一定的数学模型,以一个或几个自变量作为依据,来预测因变量发展变动趋势和水平的一种方法。这种变动趋势和水平,不单纯表现在时间序列上的自然变化规律性,而且更主要的表现为变量之间因果关系的规律性。回归预测法按自变量和因变量的相关关系形式不同,分为线性回归预测法和非线性回归预测法;线性回归预测法因自变量的多少不一,又分为一元线性回归预测法和多元线性回归预测法。

税务预测主要应用一元线性回归预测法。

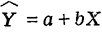
其基本方程式为:

式中Y为因变量;X为自变量;Y为预测值;a、b为回归系数,可分别用下列公式求得:

式中N为数据点项数。回归预测法适用于税务定量预测。

随便看

 

离鸟网收录3541549条中英文词条,其功能与新华字典、现代汉语词典、牛津高阶英汉词典等各类中英文词典类似,基本涵盖了全部常用中英文字词句的读音、释义及用法,是语言学习和写作的有利工具。

 

Copyright © 2004-2024 vtrois.com All Rights Reserved
更新时间:2026/4/7 6:53:50