回旋加速器的工作原理
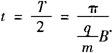
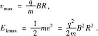
粒子原位于两D形盒的缝隙中央处,从粒子源放射出的带电粒子经两D形盒间的电场加速后,垂直磁场方向进入某一D形盒内,在洛伦兹力的作用下做匀速圆周运动.若带电粒子的电荷量为q,质量为m,进入D形盒时速度为v,匀强磁场的磁感应强度为B,则带电粒子在D形盒中运动的轨道半径为  带电粒子在一个D形盒内运动的时间为   由上式可以看出,粒子在一个D形盒内运动的时间跟带电粒子的荷质比和磁感应强度的大小有关,跟带电粒子的速度和轨道半径的大小无关 使高频电源的周期 ,则当粒子从一个D形盒飞出时,缝隙间的电场方向恰好改变,带电粒子在经过缝隙时再一次被加速,以更大的速率在另一D形盒内做匀速圆周运动……利用缝隙间的电场使带电粒子加速,利用D形盒中的磁场控制带电粒子转变,每经过缝隙一次,带电粒子的速度增大一次,粒子的速度和动能逐次增大,在两D形盒内运动的轨道半径也逐次增大,设粒子被引出D形盒前最后半周的轨道半径的R,则带电粒子从加速器飞出时的速度和动能分别为  由上式可以看出,虽然洛伦兹力对带电粒子不做功,但粒子的动能却与磁感应强度有关;虽然电场使带电粒子加速,但粒子的动能却与缝隙间的加速电压无关这是因为加速电压越大,带电粒子每次加速的动能增量越大,回旋半径也增大得越多,导致带电粒子在D形盒中的回旋次数越少;反之,加速电压越小,粒子在D形盒中的回旋次数越多,可见加速电压只影响带电粒子加速的总次数,并不影响出速度vmax和相应的动能Ekmax.而磁感应强度越大,轨道半径就增大得越慢,粒子在D形盒中加速的总次数就越多,在加速电压一定的条件下,带电粒子的最大动能就越大 |