网站首页  词典首页


请输入您要查询的字词:

 

字词 固定信息
类别 中英文字词句释义及详细解析
释义 固定信息

长时间或一段时间内其含义不变,可在各项业务中重复应用,并有相对稳定的传递渠道的信息。

其中长时间内含义不变的信息为稳定信息,一定时间内含义不变的信息为相对稳定信息。如物资编号,产品名称,产品规格型号,产品价格,材料定额,各种规章制度等。

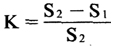
通常以信息的稳定系数K的大小来区分流动信息和固定信息,其计算公式为:

式中,S2是一个确定时间内总的信息数,S1为该时间内信息的变动数,当K>0.85时为固定信息,K<0.6时为流动信息,K值在0.85-0.6之间时则要视具体情况而定。

随便看

 

离鸟网收录3541549条中英文词条,其功能与新华字典、现代汉语词典、牛津高阶英汉词典等各类中英文词典类似,基本涵盖了全部常用中英文字词句的读音、释义及用法,是语言学习和写作的有利工具。

 

Copyright © 2004-2024 vtrois.com All Rights Reserved
更新时间:2026/4/7 9:25:40