网站首页  词典首页


请输入您要查询的字词:

 

字词 固定构成指数
类别 中英文字词句释义及详细解析
释义 固定构成指数

亦称“固定组成指数”。

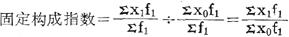
在算术平均数动态对比中,把现象的结构变动固定起来,突出现象水平变动程度的指数。计算公式为:

式中:∑x1f1为报告期的标志总量,∑f1为报告期的单位总数,∑x0f1为按基期水平计算的报告期假定标志总量。

随便看

 

离鸟网收录3541549条中英文词条,其功能与新华字典、现代汉语词典、牛津高阶英汉词典等各类中英文词典类似,基本涵盖了全部常用中英文字词句的读音、释义及用法,是语言学习和写作的有利工具。

 

Copyright © 2004-2024 vtrois.com All Rights Reserved
更新时间:2026/4/8 1:58:52