网站首页  词典首页


请输入您要查询的字词:

 

字词 固定资产技术改造投资方案的决策
类别 中英文字词句释义及详细解析
释义 固定资产技术改造投资方案的决策

对原有固定资产进行技术改造,是提高劳动生产率、增加产量、提高质量、降低成本费用的重要措施。固定资产技术改造,主要是对生产设备进行技术改造。设备的技术改造,一方面可以提高设备的生产能力,增加企业的经济效益,同时也会增加投资、增加机会成本。因此应对设备技术改造方案的投资效益进行计算、比较和评价,以便正确地进行决策。

企业设备技术改造投资方案决策,主要是通过原设备投资方案和技术改造投资方案的投资效益的计算和比较进行的。下面举例说明。

例:某项机器设备的投资额为60,000元,预计使用年限为5年,使用期满无残值。用于生产甲产品,每年可获得净收益20,000元。当该设备使用到第3年末时,拟对该设备进行技术改造。技术改造投资为25,000元,当即完成。技术改造后的设备可继续使用5年,每年净收益较改造前增加4,000元。折旧采用平均年限法,预定报酬率为15%。试对该设备的技术改造方案予以评价和决策。

1.原设备的投资效益

(1)净现值

年投资收益额=20,000+12,000=32,000(元)

投资收益现值=32,000×3.352=107,264(元)

净现值=107,264-60,000=47,264(元)

(2)现值指数

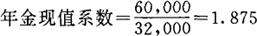
(3)内含报酬率

查年金现值系数表:

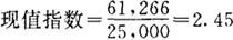
2.改造设备的投资效益

(1)净现值

年投资净收益=20,000+4,000=24,000(元)

年投资收益额=24,000+9,800=33,800(元)

投资收益现值=33,800×3.352-32,000×1.626=61,266(元)

净现值=61,266-25,000=36,266(元)

在计算改造后投资收益现值时,应扣除改造前最后两年的收益现值。这是机会成本。

(2)现值指数

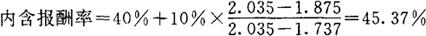
(3)内含报酬率

技术改造后各年的投资收益为:第1年和第2年各为33,800-32,000=1,800(元),第3年至第5年每年为33,800元。

采用逐项测算的方法,计算的内含报酬率为47.13%。

通过以上对该设备技术改造后投资效益的计算,可以看出,技术改造后较改造前有较好的投资效益。在经济上是有利的。因此可以采纳对该设备进行技术改造的投资方案。

随便看

 

离鸟网收录3541549条中英文词条,其功能与新华字典、现代汉语词典、牛津高阶英汉词典等各类中英文词典类似,基本涵盖了全部常用中英文字词句的读音、释义及用法,是语言学习和写作的有利工具。

 

Copyright © 2004-2024 vtrois.com All Rights Reserved
更新时间:2026/4/6 19:24:45