网站首页  词典首页


请输入您要查询的字词:

 

字词 固定资产经济寿命
类别 中英文字词句释义及详细解析
释义 固定资产经济寿命

指固定资产开始使用到它的年平均成本达到最低的时间间隔。

在资产的使用年限内,各年的使用和维修成本发生的模式,是资产经济寿命的重要决定因素。对以下情况进行计算:

(1)逐年不变的维修成本

如一项资产连续多年的维修成本经常保持不变,也无法显示它在哪一年更新较为合算。

设资产无残值,利息这个因素略而不计,则使用这项资产的年平均成本如下式所示:

式中,C表示使用资产的年平均成本;P表示资产的原价;M表示保持不变的年维修成本;n表示资产的使用年限。

如资产有残值(以S代表资产的残值),并考虑利息这个因素,则使用它的年平均成本如下式所示:

式中,i表示利息率;anvi是递增数列。

这类资产是以使用年限为其经济寿命的。

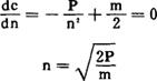
(2)逐年增长的维修成本

如果维修成本随使用年限的增长而上升,假定资产无残值,且利息因素可以略而不计,则年平均成本的计算公式如下:

式中,C表示年平均成本;P表示资产的原价;Q表示第一年的维修成本;m表示维修成本的每年增加额;n表示资产的使用年限。

资产的经济寿命是指年平均成本达到最低的使用年限(n),可按下式计算:

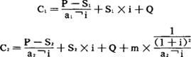
(3)资产经济寿命的一般方法

这是一种广泛适用于各种情况的通用计算法,它能较全面反映有关因素对资产经济寿命的影响。其计算公式为:

……

上述公式中,C表示年平均成本;P表示资产的原价;Q表示第一年的维修成本;m表示第一年后,每年平均增加的维修成本;ani表示递增数列;n表示使用年限;i表示利息率。

上述计算公式在应用中,取C值最小的使用年限为资产的经济寿命。

随便看

 

离鸟网收录3541549条中英文词条,其功能与新华字典、现代汉语词典、牛津高阶英汉词典等各类中英文词典类似,基本涵盖了全部常用中英文字词句的读音、释义及用法,是语言学习和写作的有利工具。

 

Copyright © 2004-2024 vtrois.com All Rights Reserved
更新时间:2026/4/7 1:51:05