网站首页  词典首页


请输入您要查询的字词:

 

字词 国内投资有效税率的测定:金-富勒顿方法
类别 中英文字词句释义及详细解析
释义 国内投资有效税率的测定:金-富勒顿方法

【内容介绍】:

1.引言

人们在讨论公司税的负担时,常常集中于公司税的法定税率,而对总法定税率的简单国际比较没有包括现行众多的、巧妙的法律安排。

因此,金(King,1977)提出了边际有效税率概念,并与富勒顿(King and Fullerton,1984)共同创立了计算边际有效税率的方法,后来,鲍德威(Boadway,1987,p.60-105)也提出了一种方法,特别适用于计算小型开放经济下的边际有效税率,成为公司税负担国际比较的标准方法。

他们进行这项研究的初衷是:随著20世纪五六十年代经济发达国家的经济持续增长势头一去不复返,很多国家的政府日益重视旨在刺激投资和提高生产率的经济政策,政府直接掌握的工具之一就是税制;税制给储蓄和投资造成的障碍成为各国政府关注的焦点,特别是在高通货膨胀时期;一些经验分析结果表明,生产率增长最高的国家,对资本所得课征的税率最低;这一结论是否准确,首先需要建立税收制度国际比较的基本标准,即有效税率及其计算。金和富勒顿认为,要解决这一问题,首先要分析政府对公司部门的边际投资项目课征的税率的分部状况。他们指出,在每一国家,税制在投资项目的收益率与该项目投资者可能获得的收益率之间加进了一个楔子。

在介绍金和富勒顿方法之前,先澄清一些概念。有效税率(effective tax rate)是一种不仅考虑法定公司税率而且也包括税收制度能够决定投资的应纳税额和赢利性的其他因素的税率,诸如,资本扣除和存货减免等。

有效税率还需要考虑个人税以及公司税制与个人税制一体化的方式(是古典制、双税率制还是归属制)。此外,通货膨胀也会以各种方式改变有效税率,这取决于税收制度在存在通货膨胀的情况下如何计算应税利润。

边际有效税率(marginal effective tax rate)与平均有效税率(average effective tax rate)是两个不同的概念。当考察边际投资的预期税收与预期所得比率的现值时,就需要计算边际有效税率;换言之,边际有效税率等于边际投资的税前(毛)收益率与为相同边际单位投资融资的储蓄的税后(净)收益率之间的差额。平均有效税率是指现有投资的已确定的税收与所得的比率。平均有效税率反映的是现金流量和税收负担,而边际有效税率则更适合考察对储蓄和投资的刺激。

边际投资是那些初始支出预期赚取的收益率恰好足以诱使投资者认为值得投资的项目。所有投资预期都会给资本的供给者带来至少与等量的资本用于其他用途(例如购买政府债券)所获得的收益率一样高,否则,潜在的投资者就会选择更有利可图的投资项目。潜在投资者总是可以选择从银行或政府那里取得现行的利率,因此,在没有公司税和个人税的情况下,这意味著投资的风险调整后收益肯定与风险调整后市场利率一样高。

2.有效税率

在讨论税收制度对投资决策的影响时,一般都主要看公司利润的税收负担,尤其是在通货膨胀率较高的时期。

可是,这种公司税负担(或平均有效公司税率)是一种错误的计算,其原因有二。第一,它忽略了个人税与公司税间的相互作用。

例如,在公司层次上可以扣除的利息支付,在个人层次上要对这笔收益征税。对投资的刺激性取决于个人税和公司税的综合权数。第二,这种税收负担衡量的是对已实现资本所得课征的可以看到的税率,不能衡量对于作为边际税率函数的额外投资的刺激。因此,金和富勒顿的方法是直接计算一系列假定的边际项目的投资收益率与储蓄收益率之间的税收楔子(tax wedge)。

在没有税收的情况下,当储蓄者把钱投资于某一项目时,他所取得的收益率等于该项目本身赚取的收益。在有扭曲性税收的情况下,这两种收益率是不同的。

税收楔子的大小取决于公司税制、通货膨胀对公司税制的影响、折旧和存货的税收待遇、个人税法、对不同法律形式的所得(例如,资本利得和股息)的待遇、存在税的存在以及许多其他规定。

令p代表边际投资项目扣除折旧后的税前实际收益率,这是社会在额外一单位特定投资上取得的收益;s代表为投资提供资金的储蓄者的税后实际收益率。税收楔子w就是这两种收益率之间的差额:

w=p-s (1)

有效税率t等于税收楔子除以税前收益率:

t=(p-s)/p (2)

税率的这种定义是一种“含税”方法,分母中包括了应纳税额和所获得的净所得。另一种方法是“不含税”方法,即有效税率te等于税收楔子除以储蓄者的税后收益:

te=(p-s)/s (3)

储蓄者与从事投资的公司之间的联系是该公司向储蓄者支付收益。用r代表实际利率,i代表相应的名义利率,π代表通货膨胀率,则

r=i-π (4)

对于任何既定的投资项目,要问的问题是:为了给储蓄者提供与他按市场利率贷款获得的税后净收益相同的收益,该项目必须实现的税前最低收益率是多少?这种最低税前收益率通称为资本成本,它取决于投资的资产和产业构成、该项目的融资形式以及提供资金的储蓄者。在这些因素的综合作用下,资本成本和利率之间的关系可以作如下表述:

p=c(r) (5)

资本成本函数c(r)取决于税法的详细规定,在下一节专门讨论。

市场利率与储蓄者的收益率之间的关系取决于个人所得的税收待遇。个人税基一般都是资本的名义所得,且对名义利息所得征税,故储蓄者的税后实际收益率是:

s=(1-m)(r+π)-π-wp (6)

式中,m代表对利息所得课征的边际个人税率,wp代表对财富课征的边际个人税率。

在没有税收的情况下,p=s=r。储蓄者在其储蓄上取得的收益率与公司在其投资上取得的收益率相同。

在实践中,税收在投资的收益与储蓄的收益之间加进了一个楔子,这种税收楔子可以用等式(5)与等式(6)的比较来测定。利用这种方法就可以计算出每一国家的有效边际税率,并能准确地进行国际比较。

3.资本成本函数

在p的值既定或者r的值既定的情况下,我们就可以利用等式(5)和等式(6)比较有效税率的值。因此,现在就需要有资本成本c(r)的表达式。

考察一个初始成本为一个单位的投资项目。

令MRR代表资本存量增加的毛边际收益率,并假定资产折旧率是一种不变的指数比率δ。

扣除折旧后的收益率是:

p=MRR-δ (7)

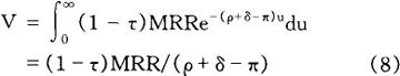
如果用τ代表公司税率,用ρ代表公司名义现金流量的贴现率,则该项目的扣税后利润贴现值(V)是:

项目的税前实际收益率与企业的贴现率之间的关系可以写成:

p=[1/(1-τ)][(1-A)(ρ+δ-π)+(1-d1τ)wc+d2τvπ]-δ (9)

式中各符号的经济含义是:

τ——公司税率

A——给予某项资产的补贴或税收减免的贴现值

ρ——公司名义现金流量的贴现率

δ——指数折旧率

π——通货膨胀率——公司财富税的税率

v——按历史成本原则计算的存货被征税的比例

如果公司财富税可以从公司税税基中扣除,d1=1;如果财富税不能扣除,d1=0。对于存货,d2=1;对于其他资产,d2=0。

显然可以看出,如果不存在税收,(9)式和(6)式分别给定的p值和s值就等于实际利率。

计算的第一步就是把企业的贴现率与市场利率联系在一起。

在完全确定性和没有税收的情况下,二者是相等的。可是,在现实中存在著扭曲性税收,贴现率不同于市场利率,而且一般还取决于资金的来源。就债务融资而言,由于名义利息所得要征税,而名义利息支付在税收上是可扣除的,则企业对税后现金流量贴现的贴现率扣除了税收的利率。换言之,就债务融资而言,

ρ=i(1-τ) (10)

就其他两种融资来源而言,贴现率取决于个人税制和公司税制。

公司税制用两个税收变量来界定:一是基本公司税税率τ,这是在没有利润分配的情况下的税率;另一是测定保留利润与分配利润之间差异程度的税收差异变量,用θ表示,它等于以放弃的毛股息表示的保留收益的机会成本。毛股息是扣除个人所得税之前的股息。

因此,税收差异θ等于公司税后收益分配一个单位情况下,股东获得的额外股息(King,1977,ch.3)。

在古典公司税制下,股息分派之后,不会多征公司税,所以,θ的值是1。

在归属税制下,对分派的股息给予税收抵免,所以,θ的值大于1。依据θ的定义可知,如果分配一单位利润,股东获得的股息是θ,征收的税额是(1-θ)。

因此,每单位毛股息的额外税收是(1-θ)/θ。公司的总纳税义务(即扣除对股息和利息课征的个人所得税以及对保留收益课征的资本利得税的总税收)可用下式表述:

T=τY+[(1-θ)/θ]G

式中,Y代表应税所得,G代表公司支付的毛股息。

在归属公司税制下,公司的部分应纳税额属于股东的。如果归属比率是c,那么,股东在缴纳个人所得税前获得的股息等于现金股息加上每单位股息的税收抵免c/(1-c)。

因此,(θ-1)等于每单位股息的税收抵免,且θ=1/(1-c)。如果允许按公司税税率完全归属(以致于在缴纳公司所得税时股息可以完全从利润中扣除),那么,θ=1/(1-τ)。

现在看一下在用新发行股票的情况下企业的适当贴现率。潜在投资者认购该公司股票所要求的货币收益率等于i(1-m),其中,i是名义市场利率。假定该项目所产生的公司所得税后的收益率是ρ,那么,这种必要的收益(即企业的贴现率)必须要使税后的股息收益等于投资者的机会成本收益率。前者等于(1-m)θρ,后者等于(1-m)i。

这意味著对于新发行股票而言,企业的贴现率是:

ρ=i/θ (12)

利用保留收益能使投资者在缴纳资本利得税而非所得税的收益率情况下进行积累,因为资本利得税的有效税率通常大大低于所得税税率。如果某一项目的收益率是ρ,那么,投资者所要求的收益率是使ρ(1-z)=i(1-m),其中,z是对应计资本利得课征的有效税率。

因此,保留收益的贴现率是:

ρ=i(1-m)/(1-z) (13)

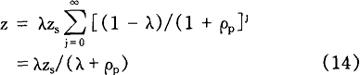
在实践中,资本利得只有在实现时才能征税,而且考虑到这种纳税延期的利益,就必须把法定税率zs转换成有效应计税率。令λ代表处于某一特定纳税档次的投资折在每一时期已实现的累积应计资本利得的比例,(1-λ)就是未实现的资本利得。

在假定λ不变的情况下,一单位应计资本利得的应纳税额的现值是:

式中,ρp代表投资者的名义贴现率。一般来说,投资者的名义贴现率等于(s+π)。在计算边际税率时,只要把z的表达式(14)式代入(13)式即可。

总之,利用上述方程式就可以计算出税收楔子w和每一种组合的边际税率。

在r固定的情况下,首先依据(6)式计算出s,然后,依据(10)式~(14)式计算出企业的贴现率。依据所得到的ρ值,即可根据(9)式计算出p值。可是,在p值固定的情况下,计算变得更加复杂。在p值给定的情况下,依据(9)式可计算出贴现率,但需要叠代法,因为贴现率存在于非线性方式的折旧扣除表达式中。在贴现率既定的情况下,可以解出市场利率,然后解出储蓄者的税后实际收益率s。

4.金-富勒顿方法的局限性

金-富勒顿方法没能准确地反映出公司税制的复杂性,他们的简化分析减少了可能的计算结果的数量(OECD,1991,p.95-96)。

第一,这种方法只考察了制造业。在有些国家,其他部门的利润适用著不同的税率。

第二,这种方法考察了面临不同个人税的三类终极投资者:免税机构、面临平均边际个人税率的个人以及面临最高边际个人税率的个人。第三,这种方法假定公司能以三种方式(债务、新股票和保留收益)之中的一种方式筹措资金,而一般使债务和股票之间差异模糊不清的更为复杂的金融工具没有考察。

第四,投资只是三类资产(工业建筑、机器和存货)当中的一种。不同的机器和建筑物折旧率不同,所以投资类型的限制不可避免地会降低每一国家税制中有效税率的差异。

第五,这种方法假定所有公司都赢利,而且一般采取最大可允许的资本扣除。毫无疑问,这些简化必将影响所得到的结果的性质。

有效税收楔子的差异也因如下事实而被减少:对于不同情况下的很多不同的参数,仅可以选择一个参数作为代表。例如,在很多国家,各类资产适用若干不同的折旧率,而且,很多国家的地方政府也有其自身的公司税率。

但是,这种方法只能选择一个典型的机器和工业建筑的折旧率和一个典型的地方税率。此外,任何特定的建筑或机器的真实的实际经济折旧与假定的实际折旧率可能是不同的。

税收楔子因资产类型和融资类型不同而各异,这可能导致多种不同的资产和融资组合。为了便于总体上解释有效税率,利用每类资产占每一国家的总资本存量的比例以及每类融资占该公司筹措的资金的比例,计算出不同选择的平均值。

尽管这种平均值对任何一个国家的情况进行了大体评估,但从某种程度上说,这样估计出来的平均边际税收楔子可能低于“真实的”平均边际税收楔子。

金-富勒顿方法的主要局限性还表现于当期投资决策假定是根据现行税制和现行通货膨胀率做出的。实际上,投资的“预期”赢利性取决于预期的未来收益,而从取决于预期的未来通货膨胀率和税收参数。只有当现行通货膨胀率和税率是一种对预期的未来通货膨胀率和税率的无偏引导时,金-富勒顿的税收楔子才是模拟企业决策的合理参数。

在大多数国家,特别是在OECD国家,近年来税率普遍呈下降趋势。这种趋势表明,这个条件没有得到满足。

我们还应当认识到,金-富勒顿方法不是估计不同税制影响的惟一可能的方法,不同的假设可能得到不同的结果(Boadway,Bruce and Mintz,1984,p.62-79;Devereux,Keen and Schiantarelli,1991)。

除了上述这些普遍意义上的局限性之外,金-富勒顿方法还有一些具体的对税收楔子计算影响不大的限制。

例如,没有考虑财富税和补助等因素,假定不同的国家在纳税期限上没有差异,等等。

尽管金-富勒顿方法有各种各样的局限性,但这种方法以简明的方式概括了税收制度的实质性特征,能够估计典型投资的税制的扭曲性效应,成为估计边际有效税率的国际通用方法。

。【参考文献】:

国际投资有效税率的测定(Measurement of Effective Tax Rates on International Investment)

Boadway,R.,1987,The Theory and Measurement of Effective Tax Rates,in J. M.Mintz and D.D. Purvis, eds., The Impact of Taxation on Business Activity, John Deutsch Institute for the Study of Economic Policy.

Boadway, R., N. Bruce and J. Mintz, 1984, Taxation, Inflation and the Effective Marginal Tax Rate of Capital in Canada, Canadian Journal of Economics 17.

Devereux, M., M. Keen and F. Schiantarelli, 1991, Corporation Tax Asymmetries and Investment: Evdence from UK Panel Data, Institute for Fiscal Studies.

King, M. A., 1977, Public Policy and the Corporation, Chapman and Hall.

King, M. A. and D. Fullerton, 1984, The Taxation of Income from Capital: A Comparative Study of the United States, the United Kingdom, Sweden, and West Germany, The University of Chicago Press.

OECD, 1991, Taxing Profits in a Global Economy: Domestic and International Issues, OECD.

随便看

 

离鸟网收录3541549条中英文词条,其功能与新华字典、现代汉语词典、牛津高阶英汉词典等各类中英文词典类似,基本涵盖了全部常用中英文字词句的读音、释义及用法,是语言学习和写作的有利工具。

 

Copyright © 2004-2024 vtrois.com All Rights Reserved
更新时间:2026/5/27 15:13:25