圆心距
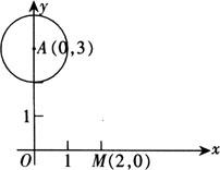
两圆圆心之间的距离. 两圆相切与“圆心距d、两圆半径R、r之间的数量关系”的等价关系. d=R+r 两圆外切. d=R-r 两圆内切. 注意 这也是两圆位置关系与“d与R,r之间数量关系”的相互转化. 例1 已知两圆外切时,圆心距为12cm,两圆内切时,圆心距为3cm,求两圆半径. 解 设两圆半径分别为Rcm、rcm,依题意可得  答 两圆半径分别为7.5cm、4.5cm. 例2 若两圆的半径分别为R、r(R>r),圆心距为d,且有R2+d2-r2=2Rd,判断两圆的位置关系. 解 ∵R2+d2-r2=2Rd, ∴R2-2Rd+d2=r2. ∴(R-d)2=r2. ∴R-d=r或R-d=-r. 即d=R+r或d=R-r. ∴两圆外切或内切. 例3 如图,已知A点坐标为(0,3),☉A的半径为1,点B在x轴上,若☉B过点M(2,0)且与☉A相切,求B点坐标.  解 设B点坐标为(x,0)显然x<2根据题意,☉B半径rB=2-x. 两圆圆心距 当两圆外切时AB=rA+rB. 即 . ∴x2+9=(3-x)2,解得x=0,此时B点坐标(0,0). 当两圆内切时,AB=rB-r4. 即 . ∴x2+9=(1-x)2,解得x=-4,此时B点坐标(-4,0). |