网站首页  词典首页


请输入您要查询的字词:

 

字词 圆的一般方程
类别 中英文字词句释义及详细解析
释义 圆的一般方程

由圆的标准方程展开,得x2+y2—2ax—2by+a2+b2—r2=0,其外形为x2+y2+Dx+Ey+F=0,称为圆的一般方程,配方得 ,其方程式的特点:

❶ x2,y2项系数相等且不为0;

❷ 没有x·y这样的交叉项.

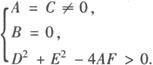
二元二次方程Ax2+Bxy+Cy2+Dx+Ey+F=0表示圆的充要条件:

若上述的二元二次方程表示圆,则有:A=C≠0,B=0这只是二元二次方程表示圆的必要条件,但不充分.

当A=C≠0,B=0时,上述二次方程可化为:,此方程表示圆的条件是即D2+E2—4AF>0.

故有二元二次方程Ax2+Bxy+Cy2+Dx+Ey+F=0表示圆的充要条件是:

把圆的一般方程x2+y2+Dx+Ey+F=0(D2+E2—4F>0)化为标准方程的一般步骤:

可先把方程左边分别按x,y配方,之后把常数移到右边,即得: ,进而可得到圆心坐标,半径

随便看

 

离鸟网收录3541549条中英文词条,其功能与新华字典、现代汉语词典、牛津高阶英汉词典等各类中英文词典类似,基本涵盖了全部常用中英文字词句的读音、释义及用法,是语言学习和写作的有利工具。

 

Copyright © 2004-2024 vtrois.com All Rights Reserved
更新时间:2026/4/9 15:37:49