网站首页  词典首页


请输入您要查询的字词:

 

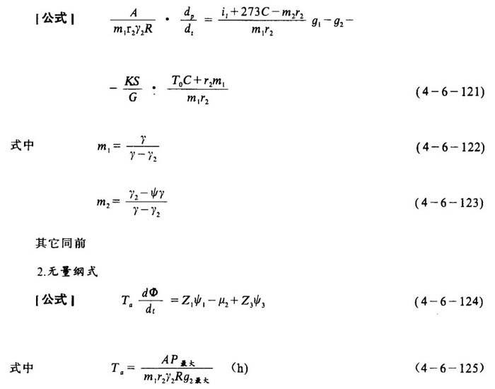
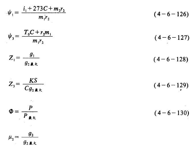
字词 在自动调节压力时的对象特征基本方程
类别 中英文字词句释义及详细解析
释义 在自动调节压力时的对象特征基本方程

1.基本方程式

[说明]假如关闭放气阀,那么就可在温度稳定时观察到锅内压力的任意增长。当用压力调节器作用于放气阀而使蒸汽和气体继续放出的情况下,则该对象是处在稳定边界上。

其它同前

随便看

 

离鸟网收录3541549条中英文词条,其功能与新华字典、现代汉语词典、牛津高阶英汉词典等各类中英文词典类似,基本涵盖了全部常用中英文字词句的读音、释义及用法,是语言学习和写作的有利工具。

 

Copyright © 2004-2024 vtrois.com All Rights Reserved
更新时间:2026/4/7 20:35:54