网站首页  词典首页


请输入您要查询的字词:

 

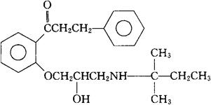
字词 地丙苯酮
类别 中英文字词句释义及详细解析
释义 地丙苯酮

C23H31NO3=369.50

CAS-81447-80-5

(±)-2′-[2-羟-3-(叔-戊氨基)丙氧]-3-苯基苯丙酮。

(±)-2′-[2-Hydroxy-3-(tert-pentylamino)propoxy]-3-phenylpropiophenone.

Diprafenone.

抗心律失常药。

INN,USAN.

随便看

 

离鸟网收录3541549条中英文词条,其功能与新华字典、现代汉语词典、牛津高阶英汉词典等各类中英文词典类似,基本涵盖了全部常用中英文字词句的读音、释义及用法,是语言学习和写作的有利工具。

 

Copyright © 2004-2024 vtrois.com All Rights Reserved
更新时间:2026/4/7 18:34:54