网站首页  词典首页


请输入您要查询的字词:

 

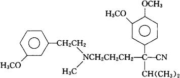
字词 地伐帕米
类别 中英文字词句释义及详细解析
释义 地伐帕米

C26H36N2O3=424.58

CAS-92302-55-1

2-(3,4-二甲氧苯基)-2-异丙基-5-[(间-甲氧苯乙基)甲氨基]戊腈。

2-(3,4-Dimethoxyphenyl)-2-isopropyl-5-[(m-methoxyphenethyl)methylamino]valeronilrile.

钙通道阻滞药。

Devapamil.

INN,USAN.

随便看

 

离鸟网收录3541549条中英文词条,其功能与新华字典、现代汉语词典、牛津高阶英汉词典等各类中英文词典类似,基本涵盖了全部常用中英文字词句的读音、释义及用法,是语言学习和写作的有利工具。

 

Copyright © 2004-2024 vtrois.com All Rights Reserved
更新时间:2026/5/27 19:57:41