网站首页  词典首页


请输入您要查询的字词:

 

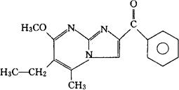
字词 地伐普隆
类别 中英文字词句释义及详细解析
释义 地伐普隆

C17H17N3O2=295.34

CAS-90808-12-1

6-乙基-7-甲氧-5-甲基咪唑并[1,2-a]嘧啶-2-基苯基酮。

6-Ethyl-7-methoxy-5-methylimidazo[1,2-a]pyrimidin-2-yl phenyl ketone.

抗焦虑药。

Divaplon.

INN,USAN.

随便看

 

离鸟网收录3541549条中英文词条,其功能与新华字典、现代汉语词典、牛津高阶英汉词典等各类中英文词典类似,基本涵盖了全部常用中英文字词句的读音、释义及用法,是语言学习和写作的有利工具。

 

Copyright © 2004-2024 vtrois.com All Rights Reserved
更新时间:2026/4/7 1:30:04